| 查看: 823 | 回复: 1 | ||
woqule7银虫 (初入文坛)
|
[求助]
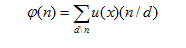
麦比乌斯函数与欧拉函数关系的证明过程
|
|
|
|
||
hank612至尊木虫 (著名写手)
|
★ ★ ★ ★ ★
woqule7(Edstrayer代发): 金币+5, 有效 2015-11-20 08:36:30
|
|
![]() |
||
|
2楼2015-06-17 08:23:42
|
|














回复此楼
