| 查看: 488 | 回复: 2 | |||
[求助]
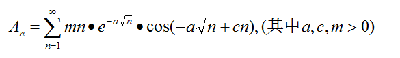
级数求和
|
|||
|
|
|||
feixiaolin荣誉版主 (文坛精英)
|
|||
|
2楼2015-06-12 14:54:43
|
|
||
|
3楼2015-06-13 09:24:14
|
|













回复此楼