24小时热门版块排行榜    

查看: 294  |  回复: 0

alex1127

新虫 (小有名气)

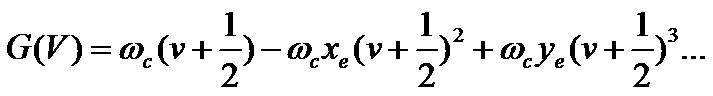
[求助] ωe.xe.ωe.ye.非谐性常数 是可以直接从gaussian里面得到还是需要做拟合去计算呢?

ωe.xe.ωe.ye.非谐性常数  是可以直接从gaussian里面得到还是需要做拟合去计算呢?

ωe.xe.ωe.ye.非谐性常数  是可以直接从gaussian里面得到还是需要做拟合去计算呢?
图片1.jpg
回复此楼
已阅   回复此楼   关注TA 给TA发消息 送TA红花 TA的回帖
相关版块跳转 我要订阅楼主 alex1127 的主题更新
最具人气热帖推荐 [查看全部] 作者 回/看 最后发表
[考研] 上海电力大学材料防护与新材料重点实验室招收调剂研究生(材料、化学、电化学,环境) +4 我爱学电池 2026-03-23 4/200 2026-03-25 00:59 by 1027_324
[考研] 考研调剂 +4 呼呼?~+123456 2026-03-24 4/200 2026-03-24 23:16 by barlinike
[考研] 0854AI CV方向招收调剂 +3 章小鱼567 2026-03-23 3/150 2026-03-24 20:25 by 汪!?!
[考研] 0854人工智能方向招收调剂 +3 章小鱼567 2026-03-24 3/150 2026-03-24 19:46 by zhouxuan..
[有机交流] 有机合成求助 20+3 FENGSHUJEI 2026-03-23 5/250 2026-03-24 19:31 by 88817753
[考研] 284求调剂 +10 Zhao anqi 2026-03-22 10/500 2026-03-24 00:08 by Equinoxhua
[考研] 335分 | 材料与化工专硕 | GPA 4.07 | 有科研经历 +4 cccchenso 2026-03-23 4/200 2026-03-23 23:00 by 徐ckkk
[考研] 材料/农业专业,07/08开头均可,过线就行 +3 呵唔哦豁 2026-03-23 4/200 2026-03-23 22:30 by 汪!?!
[考研] 求老师收我 +3 zzh16938784 2026-03-23 3/150 2026-03-23 12:56 by ztnimte
[考研] 311求调剂 +6 冬十三 2026-03-18 6/300 2026-03-22 20:18 by edmund7
[考研] 寻找调剂 +4 倔强芒? 2026-03-21 4/200 2026-03-22 16:14 by 木托莫露露
[考研] 269专硕求调剂 +6 金恩贝 2026-03-21 6/300 2026-03-22 14:31 by ColorlessPI
[考研] 初试 317 +7 半拉月丙 2026-03-20 7/350 2026-03-21 22:26 by peike
[考研] 求助 +5 梦里的无言 2026-03-21 6/300 2026-03-21 17:51 by 学员8dgXkO
[考研] 265求调剂 +12 梁梁校校 2026-03-19 14/700 2026-03-21 13:38 by lature00
[考研] 22 350 本科985求调剂,求老登收留 +3 李轶男003 2026-03-20 3/150 2026-03-21 13:28 by 搏击518
[考研] 一志愿中海洋材料工程专硕330分求调剂 +8 小材化本科 2026-03-18 8/400 2026-03-20 23:16 by JourneyLucky
[考研] 一志愿苏州大学材料求调剂,总分315(英一) +5 sbdksD 2026-03-19 5/250 2026-03-20 22:10 by luoyongfeng
[考研] 290求调剂 +7 ^O^乜 2026-03-19 7/350 2026-03-20 21:43 by JourneyLucky
[考研] 一志愿 南京航空航天大学大学 ,080500材料科学与工程学硕 +5 @taotao 2026-03-20 5/250 2026-03-20 20:16 by JourneyLucky
信息提示
请填处理意见