²é¿´: 555  |  »Ø¸´: 0

alex1127

гæ (СÓÐÃûÆø)

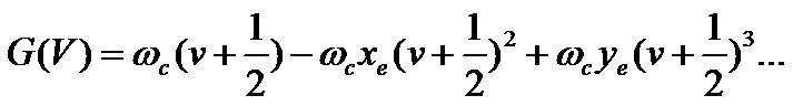
[ÇóÖú] ¦Øe.xe.¦Øe.ye.·ÇгÐÔ³£ÊýµÄÖµ

¦Øe.xe.¦Øe.ye.·ÇгÐÔ³£Êý  ÊÇ¿ÉÒÔÖ±½Ó´ÓgaussianÀïÃæµÃµ½»¹ÊÇÐèÒª×öÄâºÏÈ¥¼ÆËãÄØ£¿

¦Øe.xe.¦Øe.ye.·ÇгÐÔ³£ÊýµÄÖµ
ͼƬ1.jpg
»Ø¸´´ËÂ¥
ÒÑÔÄ   »Ø¸´´ËÂ¥   ¹Ø×¢TA ¸øTA·¢ÏûÏ¢ ËÍTAºì»¨ TAµÄ»ØÌû
Ïà¹Ø°æ¿éÌø×ª ÎÒÒª¶©ÔÄÂ¥Ö÷ alex1127 µÄÖ÷Ìâ¸üÐÂ
×î¾ßÈËÆøÈÈÌûÍÆ¼ö [²é¿´È«²¿] ×÷Õß »Ø/¿´ ×îºó·¢±í
[¿¼ÑÐ] 341Çóµ÷¼Á +5 ÇàÄûÃÊ1 2026-03-26 5/250 2026-03-26 23:09 by Dyhoer
[¿¼ÑÐ] µ÷¼ÁÇóÊÕÁô +5 ¹ûÈ»ÓÐÎÒ 2026-03-26 5/250 2026-03-26 22:29 by gxh2148
[¿¼ÑÐ] Ò»Ö¾Ô¸±±»¯Çóµ÷¼Á +3 Jsman 2026-03-22 3/150 2026-03-26 21:06 by ajpv·çÀ×
[¿¼ÑÐ] 08¿ªÍ·275Çóµ÷¼Á +3 À­Ë­²»ÖØÒª 2026-03-26 3/150 2026-03-26 20:22 by barlinike
[¿¼ÑÐ] »¯Ñ§¹¤³Ì085602 305·ÖÇóµ÷¼Á +17 RichLi_ 2026-03-25 17/850 2026-03-26 19:44 by plmuchong
[¿¼ÑÐ] 0703»¯Ñ§/290Çóµ÷¼Á/±¾¿Æ¾­Àú·á¸»/¹¤¿ÆÒ²¿É +7 µ¤ÇàÄÌ¸Ç 2026-03-26 7/350 2026-03-26 19:18 by macy2011
[¿¼ÑÐ] ×Ü·Ö322ÇóÉúÎïѧ/Éú»¯Óë·Ö×Ó/ÉúÎïÐÅϢѧÏà¹Øµ÷¼Á +5 ÐdzÁuu 2026-03-26 6/300 2026-03-26 19:02 by macy2011
[¿¼ÑÐ] ÉúÎïѧ 296 Çóµ÷¼Á +4 ¶ä¶ä- 2026-03-26 6/300 2026-03-26 19:01 by ²»³Ôô~µÄ؈
[¿¼ÑÐ] ²ÄÁÏ¿¼ÑÐÇóµ÷¼Á +3 Dendel 2026-03-23 6/300 2026-03-26 17:51 by fmesaito
[¿¼ÑÐ] ²ÄÁÏ277Çóµ÷¼Á +5 min3 2026-03-24 5/250 2026-03-26 15:13 by zzll406
[¿¼ÑÐ] ÕÐ08¿¼Êýѧ +8 laoshidan 2026-03-20 17/850 2026-03-25 17:52 by Ò»¸öºìÌ«Ñô
[¿¼ÑÐ] ÇóbÇøÔºÐ£µ÷¼Á +4 ÖÜ56 2026-03-24 5/250 2026-03-25 17:12 by yishunmin
[¿¼ÑÐ] 293Çóµ÷¼Á +7 ¼ÓÒ»Ò»¾Å 2026-03-24 7/350 2026-03-25 12:02 by userper
[¿¼ÑÐ] 0703»¯Ñ§µ÷¼Á£¬Çóµ¼Ê¦ÊÕ +7 ÌìÌìºÃÔËÀ´Éϰ¶° 2026-03-24 7/350 2026-03-24 20:26 by peike
[¿¼ÑÐ] »¯¹¤×¨Ë¶Çóµ÷¼Á +3 questionÍì·ç 2026-03-24 3/150 2026-03-24 18:48 by jhhcooi
[¿¼ÑÐ] Çóµ÷¼Á +6 ÑÐÑУ¬½Óµç»° 2026-03-24 7/350 2026-03-24 17:01 by barlinike
[¿¼ÑÐ] 300Çóµ÷¼Á£¬²ÄÁÏ¿ÆÑ§Ó¢Ò»Êý¶þ +5 leaflight 2026-03-24 5/250 2026-03-24 16:25 by laoshidan
[¿¼ÑÐ] 315·Ö£¬³ÏÇóµ÷¼Á£¬²ÄÁÏÓ뻯¹¤085600 +3 13756423260 2026-03-22 3/150 2026-03-22 20:11 by edmund7
[¿¼ÑÐ] 308Çóµ÷¼Á +3 īīĮ 2026-03-21 3/150 2026-03-22 16:54 by i_cooler
[¿¼ÑÐ] Çóµ÷¼Á +4 ÒªºÃºÃÎÞÁÄ 2026-03-21 4/200 2026-03-21 18:57 by ѧԱ8dgXkO
ÐÅÏ¢Ìáʾ
ÇëÌî´¦ÀíÒâ¼û