| 查看: 772 | 回复: 3 | |
电视广告铁虫 (小有名气)
|
[求助]
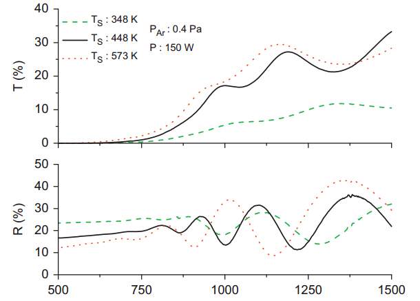
半导体薄膜透过率曲线为何出现多个峰? 求大神赐教~ 我全部金币都献上了~ 已有1人参与
|
![]() |
|
|
|
|
电视广告铁虫 (小有名气)
|
|
![]() |
|
|
2楼2015-06-03 09:06:30
|
|
sutaolong木虫 (正式写手)
|
|
![]() |
|
|
3楼2015-06-24 23:55:12
|
|
电视广告铁虫 (小有名气)
|
|
![]() |
|
|
4楼2017-05-17 20:05:00
|
|













回复此楼
