| 查看: 2742 | 回复: 1 | ||
[求助]
帮我分析下这个TC4-DT材料的应力应变曲线。。。接触的少,分析不来 已有1人参与
|
|
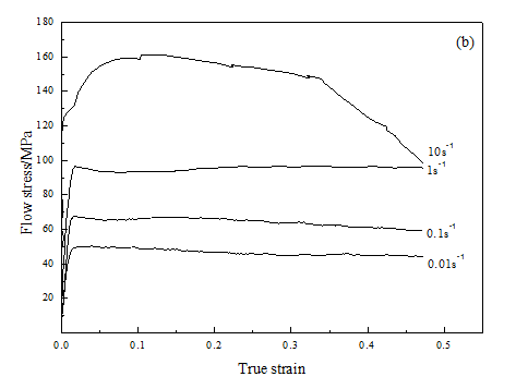
a b c d e分别为930、950、970、990、1010摄氏度直径8*12圆柱体gleeble压缩试验的应力-应变曲线,求大神帮我分析一下。 930.png 950.png 970.png 990.png 1010.png |
» 猜你喜欢
293求调剂
已经有6人回复
西京学院-结构工程-2026研究生调剂
已经有0人回复
建筑环境与结构工程论文润色/翻译怎么收费?
已经有169人回复
南通大学-交通与土木工程学院 招调剂学生
已经有15人回复
【广州】仲恺农业工程学院城乡建设学院土木水利专业硕士招调剂
已经有0人回复
上海海事大学“安全科学与工程”一级学科硕士学位授予点尚有部分缺额
已经有0人回复
【广州】仲恺农业工程学院城乡建设学院土木水利专业硕士招调剂,线上复试
已经有2人回复
西京学院-结构工程-2026研究生调剂
已经有0人回复
上海海事大学“安全科学与工程”一级学科硕士学位授予点尚有部分缺额
已经有0人回复
西京学院-结构工程-2026研究生调剂
已经有0人回复
» 本主题相关商家推荐: (我也要在这里推广)
2楼2019-05-05 09:54:46














回复此楼