| ²é¿´: 580 | »Ø¸´: 0 | |||
dengdingnanгæ (³õÈëÎÄ̳)
|
[½»Á÷]
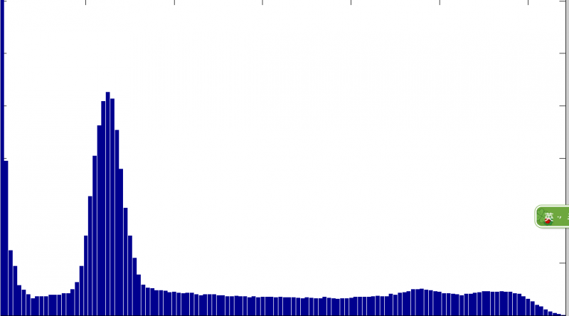
ÎÒÅÄÁË3¸ö²»Í¬ÑÕÉ«µÄÎïÌ壬µÃµ½Ö±·½Í¼£¬´ó¸ÅÓÐÈý¸ö·å£¬Ôõô×Ô¶¯È·¶¨ãÐÖµ£¿
|
|
µÚÒ»¸öͼÊÇÎÒÅĵÄÒ»¸öÎïÌ壬ÓÐÈýÖÖÑÕÉ«£¬Ö±·½Í¼·Ö²¼ÈçÏ ƽ³£ÎÒÃÇ¿ÉÄÜÖ±½Ó·å¹ÈµÄÖµÀ´È·¶¨ãÐÖµ£¬µ«Õâ¸ö¿ÉÄܲ»×¼£¬ÓÐûÓÐ×Ô¶¯»¯»òÕߺõķ½·¨£¬È·¶¨ãÐÖµ£¬ |
» ±¾Ìû¸½¼þ×ÊÔ´Áбí
-
»¶Ó¼à¶½ºÍ·´À¡£ºÐ¡Ä¾³æ½öÌṩ½»Á÷ƽ̨£¬²»¶Ô¸ÃÄÚÈݸºÔð¡£
±¾ÄÚÈÝÓÉÓû§×ÔÖ÷·¢²¼£¬Èç¹ûÆäÄÚÈÝÉæ¼°µ½ÖªÊ¶²úȨÎÊÌ⣬ÆäÔðÈÎÔÚÓÚÓû§±¾ÈË£¬Èç¶Ô°æÈ¨ÓÐÒìÒ飬ÇëÁªÏµÓÊÏ䣺xiaomuchong@tal.com - ¸½¼þ 1 : QQ½ØÍ¼20150530103621.png
2015-05-30 10:43:44, 301.05 K
» ²ÂÄãϲ»¶
322Çóµ÷¼Á£¬08¹¤¿Æ
ÒѾÓÐ4È˻ظ´
²ÄÁϹ¤³Ì281»¹Óе÷¼Á»ú»áÂð
ÒѾÓÐ30È˻ظ´
»¯Ñ§070300 Çóµ÷¼Á
ÒѾÓÐ16È˻ظ´
»¯¹¤Ñ§Ë¶294·Ö£¬Çóµ¼Ê¦ÊÕÁô
ÒѾÓÐ12È˻ظ´
Ò»Ö¾Ô¸¹þ¹¤´ó 085600 277 12²Ä¿Æ»ùÇóµ÷¼Á
ÒѾÓÐ32È˻ظ´
268·Ö085602»¯Ñ§¹¤³Ìµ÷¼Á
ÒѾÓÐ31È˻ظ´
Ò»Ö¾Ô¸°²´óÉúÎïѧ07³õÊÔ322¡¢±¾¿Æ¶þ±¾¡¢µ÷¼ÁÇóÖú
ÒѾÓÐ11È˻ظ´
ʳƷÓëÓªÑø£¨0955£©271Çóµ÷¼Á
ÒѾÓÐ7È˻ظ´
085600²ÄÁÏÓ뻯¹¤349·ÖÇóµ÷¼Á
ÒѾÓÐ9È˻ظ´
Ò»Ö¾Ô¸ÖÐÄÏ´óѧ 0855 »úе 286 Çóµ÷¼Á
ÒѾÓÐ10È˻ظ´













»Ø¸´´ËÂ¥