| 查看: 1777 | 回复: 4 | ||
green_123超级版主
|
[求助]
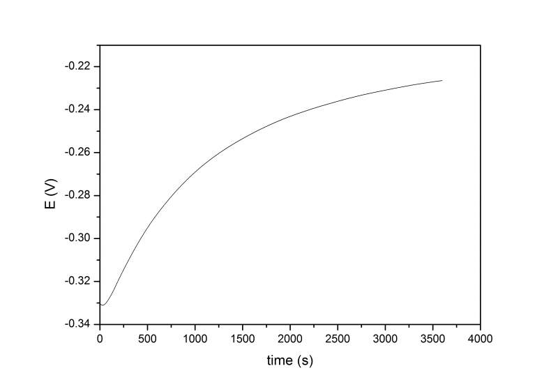
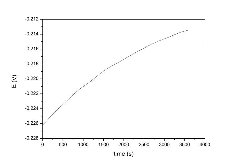
一个困扰已久的OCP不稳定导致的问题 已有1人参与
|
|
|
|
||
green_123主管区长
|
||
|
2楼2015-05-29 22:24:10
|
|
|
green_123实习版主
|
||
|
3楼2015-05-29 22:36:45
|
|
|
corrtest主管区长 |
感谢参与,应助指数 +1
MyTavel: 屏蔽内容, 请勿留下联系方式...... 2015-06-01 15:57:06
|
|
|
4楼2015-06-01 09:00:44
|
|
|
green_123专家顾问
|
||
|
5楼2015-06-01 14:12:49
|
|














回复此楼