| 查看: 345 | 回复: 0 | ||
linghupingy铜虫 (初入文坛)
|
[求助]
求问两粒子散射振幅的末态密度的推导
|
|
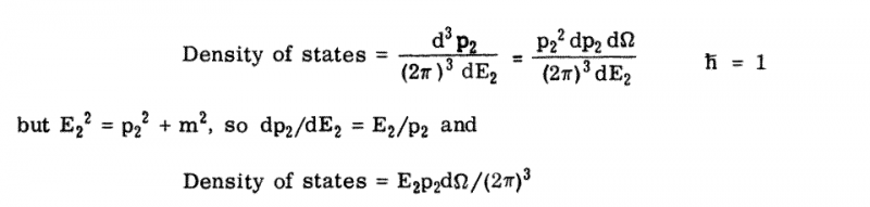
我在学习费曼的量子电动力学时看到了一个两粒子末态密度的公式,不知道如何得到的: http://image.keyan.cc/data/bcs/2 ... _1432196969_848.png 之前所推导的单个粒子态密度的公式是http://image.keyan.cc/data/bcs/2 ... _1432197035_846.png QQ图片20150521162909.png QQ图片20150521163020.png |
» 猜你喜欢
三无产品还有机会吗
已经有3人回复
投稿返修后收到这样的回复,还有希望吗
已经有7人回复
压汞仪和BET测气凝胶孔隙率
已经有4人回复
博士申请都是内定的吗?
已经有14人回复
谈谈两天一夜的“延安行”
已经有13人回复
氨基封端PDMS和HDI反应快速固化
已经有11人回复
之前让一硕士生水了7个发明专利,现在这7个获批发明专利的维护费可从哪儿支出哈?
已经有11人回复
论文投稿求助
已经有4人回复
Applied Surface Science 这个期刊。有哪位虫友投过的能把word模板发给我参考一下嘛
已经有3人回复
投稿精细化工
已经有6人回复













回复此楼