±±¾©Ê¯ÓÍ»¯¹¤Ñ§Ôº2026ÄêÑо¿ÉúÕÐÉú½ÓÊÕµ÷¼Á¹«¸æ
²é¿´: 605  |  »Ø¸´: 4

tiancaicfly

¹ÜÀíÔ±

ÓÅÐ㣡£¡ÓÐľÓУ¡£¡£¡ÓÅÐ㣡£¡ÓÐľÓУ¡£¡£¡ÓÅÐ㣡£¡ÓÐľÓУ¡£¡£¡ÓÅÐ㣡£¡ÓÐľÓУ¡£¡£¡

[ÇóÖú] ÇóÒ»ºÏ³É·Ïß ±ûÏ©Ëáµ½¾Û±ûÏ©Ëá ÒÑÓÐ1È˲ÎÓë

ÇóÖúÒ»ºÏ³É·Ïߣ¬±ûÏ©Ëáµ½¾Û±ûÏ©Ëᣡ лл
»Ø¸´´ËÂ¥

» ²ÂÄãϲ»¶

» ±¾Ö÷ÌâÏà¹Ø¼ÛÖµÌùÍÆ¼ö£¬¶ÔÄúͬÑùÓаïÖú:

ÒÑÔÄ   »Ø¸´´ËÂ¥   ¹Ø×¢TA ¸øTA·¢ÏûÏ¢ ËÍTAºì»¨ TAµÄ»ØÌû

talenter

ʵϰ°æÖ÷

ÓÅÐ㣡£¡ÓÐľÓУ¡£¡£¡ÓÅÐ㣡£¡ÓÐľÓУ¡£¡£¡ÓÅÐ㣡£¡ÓÐľÓУ¡£¡£¡ÓÅÐ㣡£¡ÓÐľÓУ¡£¡£¡

¡¾´ð°¸¡¿Ó¦Öú»ØÌû

¡ï ¡ï ¡ï ¡ï ¡ï ¡ï ¡ï ¡ï ¡ï ¡ï ¡ï ¡ï ¡ï ¡ï ¡ï ¡ï ¡ï ¡ï ¡ï ¡ï ¡ï ¡ï
¸Ðл²ÎÓ룬ӦÖúÖ¸Êý +1
ÎÞÊÓ¾üÍÅ: ½ð±Ò+2, »¶Ó­³£À´¸ß·Ö×Ó½»Á÷ 2015-05-19 22:37:20
tiancaicfly: ½ð±Ò+20, ¡ï¡ï¡ïºÜÓаïÖú 2015-05-21 08:09:45
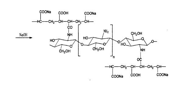
Ïêϸ·Ïß¼ûͼƬ
ÇóÒ»ºÏ³É·Ïß ±ûÏ©Ëáµ½¾Û±ûÏ©Ëá
1.jpg


ÇóÒ»ºÏ³É·Ïß ±ûÏ©Ëáµ½¾Û±ûÏ©Ëá-1
2.jpg


ÇóÒ»ºÏ³É·Ïß ±ûÏ©Ëáµ½¾Û±ûÏ©Ëá-2
3.jpg

¶¼ÒѸı䣬ÊÓ¶ø²»¼û
2Â¥2015-05-19 21:21:44
ÒÑÔÄ   »Ø¸´´ËÂ¥   ¹Ø×¢TA ¸øTA·¢ÏûÏ¢ ËÍTAºì»¨ TAµÄ»ØÌû

tiancaicfly

¶Ò»»¹ó±ö

ÓÅÐ㣡£¡ÓÐľÓУ¡£¡£¡ÓÅÐ㣡£¡ÓÐľÓУ¡£¡£¡ÓÅÐ㣡£¡ÓÐľÓУ¡£¡£¡ÓÅÐ㣡£¡ÓÐľÓУ¡£¡£¡

ÒýÓûØÌû:
2Â¥: Originally posted by talenter at 2015-05-19 21:21:44
Ïêϸ·Ïß¼ûͼƬ

1.jpg

2.jpg

3.jpg
...

ллÀ²£¡
3Â¥2015-05-21 08:09:32
ÒÑÔÄ   »Ø¸´´ËÂ¥   ¹Ø×¢TA ¸øTA·¢ÏûÏ¢ ËÍTAºì»¨ TAµÄ»ØÌû

nier-1

°æÖ÷

ÓÅÐ㣡£¡ÓÐľÓУ¡£¡£¡ÓÅÐ㣡£¡ÓÐľÓУ¡£¡£¡ÓÅÐ㣡£¡ÓÐľÓУ¡£¡£¡ÓÅÐ㣡£¡ÓÐľÓУ¡£¡£¡

ÄãÏÖÔÚÓÃʲô·½·¨ºÏ³É¾Û±ûÏ©ËᣬÓùýAIBNÒý·¢×ÔÓÉ»ù¾ÛºÏÂð£¿
4Â¥2015-07-15 15:50:38
ÒÑÔÄ   »Ø¸´´ËÂ¥   ¹Ø×¢TA ¸øTA·¢ÏûÏ¢ ËÍTAºì»¨ TAµÄ»ØÌû

tiancaicfly

Ö÷¹ÜÇø³¤

ÓÅÐ㣡£¡ÓÐľÓУ¡£¡£¡ÓÅÐ㣡£¡ÓÐľÓУ¡£¡£¡ÓÅÐ㣡£¡ÓÐľÓУ¡£¡£¡ÓÅÐ㣡£¡ÓÐľÓУ¡£¡£¡

ÒýÓûØÌû:
4Â¥: Originally posted by nier-1 at 2015-07-15 15:50:38
ÄãÏÖÔÚÓÃʲô·½·¨ºÏ³É¾Û±ûÏ©ËᣬÓùýAIBNÒý·¢×ÔÓÉ»ù¾ÛºÏÂð£¿

Óùý
5Â¥2015-10-23 08:32:21
ÒÑÔÄ   »Ø¸´´ËÂ¥   ¹Ø×¢TA ¸øTA·¢ÏûÏ¢ ËÍTAºì»¨ TAµÄ»ØÌû
Ïà¹Ø°æ¿éÌø×ª ÎÒÒª¶©ÔÄÂ¥Ö÷ tiancaicfly µÄÖ÷Ìâ¸üÐÂ
×î¾ßÈËÆøÈÈÌûÍÆ¼ö [²é¿´È«²¿] ×÷Õß »Ø/¿´ ×îºó·¢±í
[¿¼ÑÐ] ²ÄÁÏר˶µ÷¼Á +15 Ò¬Ò¬¡£ 2026-03-29 15/750 2026-04-01 17:52 by JYD2011
[¿¼ÑÐ] 0710ÉúÎïѧ¿¼Ñе÷¼Á +3 Àî¶àÃ×lee. 2026-03-27 4/200 2026-04-01 16:21 by zzchen2000
[¿¼ÑÐ] 350Çóµ÷¼Á +7 °¢¼Ñ¡« 2026-03-31 7/350 2026-04-01 16:12 by yanflower7133
[¿¼ÑÐ] Çóµ÷¼Á +5 Áã°Ë# 2026-03-27 5/250 2026-04-01 14:40 by yulian1987
[¿¼ÑÐ] 0856²ÄÁÏÓ뻯¹¤µ÷¼Á£¬339 +10 10213207 2026-03-31 10/500 2026-04-01 08:28 by Linda Hu
[¿¼ÑÐ] ÉúÎïѧ308·ÖÇóµ÷¼Á£¨Ò»Ö¾Ô¸»ª¶«Ê¦´ó£© +3 ÏàÐűػá¹ââÍòÕ 2026-03-31 3/150 2026-04-01 02:16 by СÇཷ26
[¿¼ÑÐ] 289Çóµ÷¼Á +7 BrightLL 2026-03-29 7/350 2026-03-31 22:05 by 544594351
[¿¼ÑÐ] 346Çóµ÷¼Á Ò»Ö¾Ô¸070303Óлú»¯Ñ§ +11 Âܲ·ìÀÇà²Ë 2026-03-28 12/600 2026-03-31 17:54 by xhai2011
[¿¼ÑÐ] 086000µ÷¼Á +5 7901117076 2026-03-26 5/250 2026-03-31 17:45 by 544594351
[¿¼ÑÐ] Çóµ÷¼Á +8 11ggg 2026-03-30 8/400 2026-03-31 13:56 by nanaliuyun
[¿¼ÑÐ] 266·Ö£¬Çó²ÄÁÏÒ±½ðÄÜÔ´»¯¹¤µÈµ÷¼Á +8 ÍÛºôºßºôºß 2026-03-27 10/500 2026-03-31 13:35 by Huaxue_Wang
[¿¼ÑÐ] ¸£½¨Àí¹¤´óѧ²ÄÁÏѧԺÏȽøºÏ½ðÍŶÓÕÐÊÕ¿¼Ñе÷¼ÁѧÉú +3 ´ó»ª½ðÉ̶¼ 2026-03-30 4/200 2026-03-31 01:04 by ·½Ó¢¿¡602
[¿¼ÑÐ] 085701»·¾³¹¤³ÌÇóµ÷¼Á +11 ¶à¾ÃÉϿΠ2026-03-27 12/600 2026-03-30 21:21 by Ñо¿É®µ¼µ¼
[¿¼ÑÐ] ±§Ç¸ +3 ÌïºéÓÐ 2026-03-30 3/150 2026-03-30 19:11 by ÃÔºýCCPs
[¿¼ÑÐ] 332Çóµ÷¼Á +6 @MZB382400 2026-03-28 6/300 2026-03-30 16:57 by Î޼ʵIJÝÔ­
[¿¼ÑÐ] 343Çóµ÷¼Á +6 °®î¿°í 2026-03-29 6/300 2026-03-29 12:00 by Î޼ʵIJÝÔ­
[¿¼ÑÐ] 285Çóµ÷¼Á +4 AZMK 2026-03-27 7/350 2026-03-27 20:59 by AZMK
[¿¼ÑÐ] 081200-11408-276ѧ˶Çóµ÷¼Á +4 ´Þwj 2026-03-26 4/200 2026-03-27 08:04 by chemisry
[¿¼ÑÐ] µ÷¼ÁÇóÊÕÁô +7 ¹ûÈ»ÓÐÎÒ 2026-03-26 7/350 2026-03-27 00:26 by wxiongid
[¿¼ÑÐ] 321Çóµ÷¼Á +6 wasdssaa 2026-03-26 6/300 2026-03-26 20:57 by sanrepian
ÐÅÏ¢Ìáʾ
ÇëÌî´¦ÀíÒâ¼û