24小时热门版块排行榜    

北京石油化工学院2026年研究生招生接收调剂公告
查看: 2999  |  回复: 18
当前只显示满足指定条件的回帖,点击这里查看本话题的所有回帖

咖啡之翼

金虫 (小有名气)

[交流] DMA测试储能模量在低温区出现一个峰,怎么解释

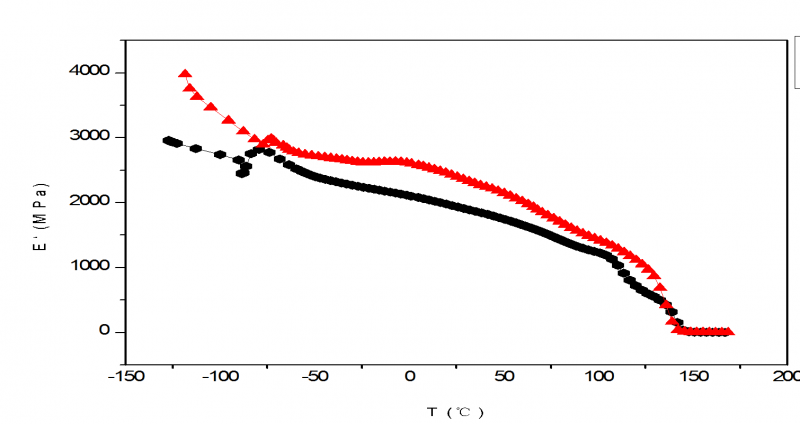
DMA测试储能模量在低温区出现一个峰,怎么解释,求大神知道

DMA测试储能模量在低温区出现一个峰,怎么解释
捕获.PNG
回复此楼
剽悍的人生不需要介绍
已阅   回复此楼   关注TA 给TA发消息 送TA红花 TA的回帖

咖啡之翼

金虫 (小有名气)

引用回帖:
4楼: Originally posted by aikou at 2015-05-18 10:35:58
你这个图标注的不是特别明显,最好标注几个值,以及说明一下纵坐标横坐标。我遇见的情况是,样品制备混合不均会导致这种情况,通常我会复测,看是否具有重复性。

已经重复了好几次,都是这样的结果,一般来说储能模量出现峰,说明什么??你是怎么理解的呢
DMA测试储能模量在低温区出现一个峰,怎么解释-1
捕获.PNG

剽悍的人生不需要介绍
9楼2015-05-18 21:29:10
已阅   回复此楼   关注TA 给TA发消息 送TA红花 TA的回帖
查看全部 19 个回答

aikou

铁杆木虫 (著名写手)


小木虫: 金币+0.5, 给个红包,谢谢回帖
你这个图标注的不是特别明显,最好标注几个值,以及说明一下纵坐标横坐标。我遇见的情况是,样品制备混合不均会导致这种情况,通常我会复测,看是否具有重复性。
佛心 !善哉 !
4楼2015-05-18 10:35:58
已阅   回复此楼   关注TA 给TA发消息 送TA红花 TA的回帖

水晶善良

金虫 (正式写手)


小木虫: 金币+0.5, 给个红包,谢谢回帖
从来没有遇到过,低温是多少度啊
6楼2015-05-18 10:57:08
已阅   回复此楼   关注TA 给TA发消息 送TA红花 TA的回帖

xiaochong8693

木虫之王 (文坛精英)

哈哈~飘过~留下满满的祝福
祝福楼主 一切顺利
7楼2015-05-18 11:14:36
已阅   回复此楼   关注TA 给TA发消息 送TA红花 TA的回帖
普通表情 高级回复 (可上传附件)
最具人气热帖推荐 [查看全部] 作者 回/看 最后发表
[考研] 300求调剂,材料科学英一数二 +8 leaflight 2026-03-24 8/400 2026-03-29 01:31 by fmesaito
[考研] 0703 化学 求调剂,一志愿山东大学 342 分 +4 Shern—- 2026-03-28 4/200 2026-03-29 00:47 by 544594351
[考研] 2026年华南师范大学欢迎化学,化工,生物,生医工等专业优秀学子加入! +3 llss0711 2026-03-28 5/250 2026-03-29 00:23 by MRMFYTL
[考研] 复试调剂 +3 raojunqi0129 2026-03-28 3/150 2026-03-28 15:27 by 落睿可思
[考研] 346求调剂 一志愿070303有机化学 +3 萝卜炖青菜 2026-03-28 3/150 2026-03-28 14:11 by 唐沐儿
[考研] 材料求调剂一志愿哈工大324 +7 闫旭东 2026-03-28 9/450 2026-03-28 08:51 by Xu de nuo
[考研] 331环境科学与工程求调剂 +3 熠然好运气 2026-03-27 3/150 2026-03-28 04:11 by fmesaito
[考研] 求调剂 +4 零八# 2026-03-27 4/200 2026-03-27 18:07 by yu221
[考研] 一志愿 西北大学 总分282 英语一62 求调剂 +7 18419759900 2026-03-25 8/400 2026-03-27 16:38 by 18419759900
[考研] 287求调剂 +10 land xuxu 2026-03-26 10/500 2026-03-27 15:33 by 帕尔马拉特
[考研] 315调剂 +4 0860求调剂 2026-03-26 5/250 2026-03-27 11:23 by wangjy2002
[考研] 求调剂,一志愿 南京航空航天大学大学 ,080500材料科学与工程学硕 +4 @taotao 2026-03-26 5/250 2026-03-27 08:10 by hypershenger
[考研] 343求调剂 +4 赠我一本书 2026-03-23 4/200 2026-03-27 00:40 by wxiongid
[考研] 342求调剂 +3 加油a李zs 2026-03-26 3/150 2026-03-27 00:29 by wxiongid
[考研] 329求调剂 +5 1() 2026-03-22 5/250 2026-03-26 20:40 by fmesaito
[考研] 【双一流院校新能源、环境材料,材料加工与模拟招收大量调剂】 +4 Higraduate 2026-03-22 8/400 2026-03-26 20:34 by Higraduate
[考研] 求调剂 +8 Auroracx 2026-03-22 8/400 2026-03-26 19:55 by 不吃魚的貓
[考研] 总分322求生物学/生化与分子/生物信息学相关调剂 +5 星沉uu 2026-03-26 6/300 2026-03-26 19:02 by macy2011
[考研] 303求调剂 +6 蓝山月 2026-03-25 6/300 2026-03-25 22:47 by 418490947
[考研] 一志愿吉大化学322求调剂 +4 17501029541 2026-03-23 6/300 2026-03-24 10:21 by 戴围脖的小蚊子
信息提示
请填处理意见