| 查看: 751 | 回复: 5 | |
[求助]
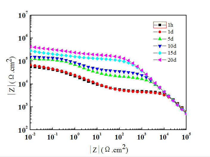
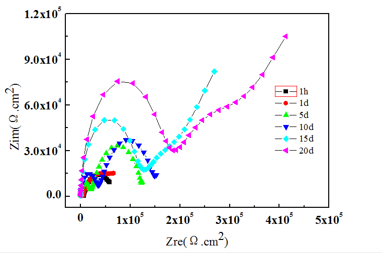
碳钢基体破损涂层施加杂散电流阻抗反而越来越高 已有2人参与
|
|
|
|
|
binbinitaly铁杆木虫 (著名写手)
|
|
![]() |
|
|
2楼2015-05-17 10:22:21
|
|
|
3楼2015-05-18 10:10:04
|
|
110730214木虫 (小有名气)
|
|
|
4楼2015-05-18 10:59:05
|
|
|
5楼2015-05-19 19:45:11
|
|
110730214木虫 (小有名气)
|
|
|
6楼2015-05-19 21:55:28
|
|












回复此楼

5