°æ¿éµ¼º½
ÕýÔÚ¼ÓÔØÖÐ...
¿Í»§¶ËAPPÏÂÔØ
怬
×¢²á
Ìû×Ó
Ìû×Ó
Óû§
±¾°æ
Ó¦¡¶ÍøÂ簲ȫ·¨¡·ÒªÇó£¬×Ô2017Äê10ÔÂ1ÈÕÆð£¬Î´½øÐÐʵÃûÈÏÖ¤½«²»µÃʹÓû¥ÁªÍø¸úÌû·þÎñ¡£Îª±£ÕÏÄúµÄÕʺÅÄܹ»Õý³£Ê¹Óã¬Ç뾡¿ì¶ÔÕʺŽøÐÐÊÖ»úºÅÑéÖ¤£¬¸ÐлÄúµÄÀí½âÓëÖ§³Ö£¡
24СʱÈÈÃŰæ¿éÅÅÐаñ
>
µ¼Ê¦ÕÐÉú
(898)
>
ÂÛ̳¸üÐÂÈÕÖ¾
(544)
>
ÕÐÆ¸ÐÅÏ¢²¼¸æÀ¸
(321)
>
ÂÛÎÄͶ¸å
(60)
>
¿¼²©
(22)
>
³æÓÑ»¥Ê¶
(21)
>
»ù½ðÉêÇë
(20)
>
ÊýÀí¿ÆÑ§×ÛºÏ
(15)
>
ÐÅÏ¢¿ÆÑ§
(15)
>
¹«Åɳö¹ú
(14)
>
˶²©¼ÒÔ°
(13)
>
³ö¹ú¿¼ÊÔ
(12)
>
·ÂտģÄâ
(10)
>
½Ìʦ֮¼Ò
(9)
>
²©ºóÖ®¼Ò
(8)
>
ÂÛÎĵÀºØÆí¸£
(7)
Сľ³æÂÛ̳-ѧÊõ¿ÆÑл¥¶¯Æ½Ì¨
»
»¯Ñ§»¯¹¤Çø
»
¾«Ï¸»¯¹¤
»
±íÃæ»îÐÔ¼Á
»
¹ØÓÚ±íÃæ»îÐÔ¼ÁµÄºÏ³É£¬ÇóÖ¸½Ì£¡£¡£¡
5
1/1
·µ»ØÁбí
²é¿´: 565 | »Ø¸´: 4
Ö»¿´Â¥Ö÷
@ËûÈË
´æµµ
лظ´ÌáÐÑ
(ºöÂÔ)
ÊÕ²Ø
ÔÚAPPÖв鿴
³ÁÏã5268
Ìú³æ
(СÓÐÃûÆø)
Ó¦Öú: 0
(Ó×¶ùÔ°)
½ð±Ò: 754.3
Ìû×Ó: 63
ÔÚÏß: 38.6Сʱ
³æºÅ: 2371836
×¢²á: 2013-03-23
ÐÔ±ð:
MM
רҵ: ÎÛȾ¿ØÖÆ»¯Ñ§
[
ÇóÖú
]
¹ØÓÚ±íÃæ»îÐÔ¼ÁµÄºÏ³É£¬ÇóÖ¸½Ì£¡£¡£¡
ÒÑÓÐ2È˲ÎÓë
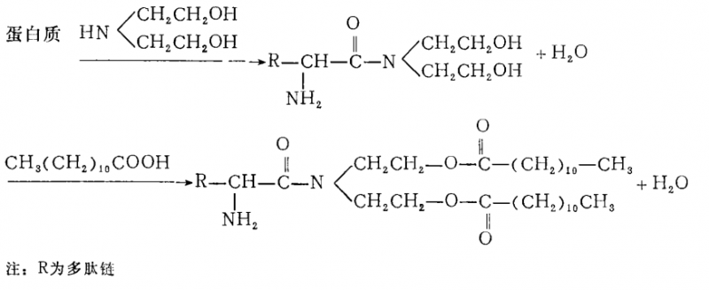
ÇëÎÊÕâ¸ö·´Ó¦ÄÜ·¢ÉúÂð£¿Ã»Óд߻¯¼ÁÒ²ÄܽøÐУ¿ÐèÒªÔÚÎÞË®µÄ»·¾³Ï£¿£¿£¿£¿
WCXQL[XB6W~)Y3A7WY(RU%I.png
»Ø¸´´ËÂ¥
» ²ÂÄãϲ»¶
ÆÀÉó¸ÐÊÜ-ÆÀÉó¸ÐÊÜ-ÆÀÉó¸ÐÊÜ
ÒѾÓÐ15È˻ظ´
±¾ÈË×î½üÌ«ÏÐÁË£¬ËÓÐÎÊÌâ¿ÉÒÔÌᣬÿÌì»áͳһ»Ø¸´
ÒѾÓÐ13È˻ظ´
ÕâÄêͷûÓÐÕÒµ½ºÆÀר¼Ò£¬»¹ÓÐÖÐÃæÉϵĿÉÄÜÂð
ÒѾÓÐ7È˻ظ´
ÇàC×ÊÖúÃû¶î´ó·ùÔö¼Ó£¡
ÒѾÓÐ12È˻ظ´
ÖØ°õ£¡ÇàÄê¿ÆÑ§»ù½ðÏîÄ¿£¨CÀࣩ×ÊÖúÔö·ùÔ¤¼Æ³¬¹ý50%
ÒѾÓÐ6È˻ظ´
Óдø·¢ÂÛÎĵÄÂð
ÒѾÓÐ3È˻ظ´
µ¼Ê¦¸÷ÖÖ²Ù×÷¶ñÐÄÕ¦°ì
ÒѾÓÐ13È˻ظ´
»¤ÀíÂÛÎÄ ½úÉý
ÒѾÓÐ5È˻ظ´
ÇóÖú´óÀÐsciͶ¸åÄĸöºÃÖÐ
ÒѾÓÐ4È˻ظ´
2026²©Ê¿ÉêÇëÇóÖú
ÒѾÓÐ10È˻ظ´
» ±¾Ö÷ÌâÏà¹Ø¼ÛÖµÌùÍÆ¼ö£¬¶ÔÄúͬÑùÓаïÖú:
ÐÂÐÍË«×Ó±íÃæ»îÐÔ¼Á
ÒѾÓÐ5È˻ظ´
¹ØÓÚ±íÃæ»îÐÔ¼ÁµÄһЩÒÉÎÊ
ÒѾÓÐ7È˻ظ´
¹ØÓÚDMSOÓÃ×÷±íÃæ»îÐÔ¼Á
ÒѾÓÐ4È˻ظ´
ÓÃ×÷Èóʪ¼ÁµÄ±íÃæ»îÐÔ¼ÁÇóÖ¸½Ì
ÒѾÓÐ10È˻ظ´
¹ØÓÚ±íÃæ»îÐÔ¼ÁÒº¾§µÄÎÊÌâ
ÒѾÓÐ14È˻ظ´
±íÃæ»îÐÔ¼ÁµÄÔöÈÝÐÔ×÷ÓÃ
ÒѾÓÐ5È˻ظ´
ÖÆ±¸ÄÉÃײÄÁϹý³ÌÖбíÃæ»îÐÔ¼ÁµÄ×÷ÓÃ
ÒѾÓÐ10È˻ظ´
Çó±íÃæ»îÐÔ¼ÁÉ̼ң¡
ÒѾÓÐ16È˻ظ´
¸ß·Ö×Ó±íÃæ»îÐÔ¼ÁµÄºÏ³ÉÓëÓ¦ÓýøÕ¹
ÒѾÓÐ4È˻ظ´
£ÛÇóÖú£ÝÇ¿ËáÌõ¼þϱíÃæ»îÐÔ¼ÁµÄÎö³ö¡¢Ê§Ð§ÎÊÌâ
ÒѾÓÐ20È˻ظ´
ÇóÖúÓйرíÃæ»îÐÔ¼Á
ÒѾÓÐ17È˻ظ´
Çë½Ì·ÇË®ÈÜÐÔ±íÃæ»îÐÔ¼ÁÔöÈÜÎÊÌâ
ÒѾÓÐ24È˻ظ´
¹ØÓÚ·´Ó¦ÐÔ±íÃæ»îÐÔ¼Á
ÒѾÓÐ6È˻ظ´
ÇóÖúÆû³µ²£Á§Ë®ÖеıíÃæ»îÐÔ¼Á³É·Ö
ÒѾÓÐ10È˻ظ´
¡¾ÇóÖú¡¿Çë½Ì¼¸¸öÓйرíÃæ»îÐÔ¼ÁµÄÎÊÌâ(±êÌâÒª³¤£¬½ð±ÒÒª¶à£¬ÐéÐÄÇóÖ¸½Ì£¬¶îÍâ½ð±Ò·îÉ
ÒѾÓÐ13È˻ظ´
¡¾ÇóÖú¡¿ºÏ³É½é¿×²ÄÁϵıíÃæ»îÐÔ¼ÁÔõô·ÖÀàµÄ
ÒѾÓÐ8È˻ظ´
¡¾ÇóÖú¡¿¹ØÓÚÊ®¶þÍé»ùÁò»ÇËáÄÆ£¨SDS£©±íÃæ»îÐÔ¼ÁµÄÎÊÌâ
ÒѾÓÐ8È˻ظ´
¡¾ÇóÖú¡¿¹ØÓÚ±íÃæ»îÐÔ¼ÁµÄÓÃÁ¿
ÒѾÓÐ8È˻ظ´
1Â¥
2015-05-15 15:48:07
ÒÑÔÄ
»Ø¸´´ËÂ¥
¹Ø×¢TA
¸øTA·¢ÏûÏ¢
ËÍTAºì»¨
TAµÄ»ØÌû
³ÁÏã5268
Ìú³æ
(СÓÐÃûÆø)
Ó¦Öú: 0
(Ó×¶ùÔ°)
½ð±Ò: 754.3
Ìû×Ó: 63
ÔÚÏß: 38.6Сʱ
³æºÅ: 2371836
×¢²á: 2013-03-23
ÐÔ±ð:
MM
רҵ: ÎÛȾ¿ØÖÆ»¯Ñ§
upһϣ¬ÇóÖ¸½Ì
»Ø¸´´ËÂ¥
2Â¥
2015-05-15 15:55:40
ÒÑÔÄ
»Ø¸´´ËÂ¥
¹Ø×¢TA
¸øTA·¢ÏûÏ¢
ËÍTAºì»¨
TAµÄ»ØÌû
³ÁÏã5268
Ìú³æ
(СÓÐÃûÆø)
Ó¦Öú: 0
(Ó×¶ùÔ°)
½ð±Ò: 754.3
Ìû×Ó: 63
ÔÚÏß: 38.6Сʱ
³æºÅ: 2371836
×¢²á: 2013-03-23
ÐÔ±ð:
MM
רҵ: ÎÛȾ¿ØÖÆ»¯Ñ§
upһϣ¬ÇóÖ¸½Ì
»Ø¸´´ËÂ¥
3Â¥
2015-05-15 16:07:26
ÒÑÔÄ
»Ø¸´´ËÂ¥
¹Ø×¢TA
¸øTA·¢ÏûÏ¢
ËÍTAºì»¨
TAµÄ»ØÌû
yayakefu
ľ³æ
(СÓÐÃûÆø)
Ó¦Öú: 26
(СѧÉú)
½ð±Ò: 4770.2
É¢½ð: 5
ºì»¨: 5
Ìû×Ó: 269
ÔÚÏß: 85.9Сʱ
³æºÅ: 2201611
×¢²á: 2012-12-23
ÐÔ±ð: GG
רҵ: ½ºÌåÓë½çÃæ»¯Ñ§
¡¾´ð°¸¡¿Ó¦Öú»ØÌû
¸Ðл²ÎÓ룬ӦÖúÖ¸Êý +1
Õâ¸ö·´Ó¦Í¦Äѵ쬵ÚÒ»²½õ£°·»¯£¬ºÜ¿ÉÄܰ±»ùËá·Ö×ÓÖ®¼ä·¢Éúõ£°·»¯¡£µÚ¶þ²½õ¥»¯£¬Ã÷ÏÔ±Èõ£°·»¯·´Ó¦ÄÑÒ»µã£¬Ëá»áÓÅÏȺͰ±»ù·´Ó¦µÄ£¨Èç¹ûλ×èÓ°ÏìûÄÇô´óµÄ»°£©¡£ÈܼÁ²»ÄÜÓÃÒÒ´¼£¬ÒòΪõ£°·»¯Ò»°ãÒªÒ»°Ù¶à¶È£¬´ËÍ⻹Ҫ¿¼Âǵ½¶éÌ¥µÄ°·½âµÈ¡£
ÔÞ
Ò»ÏÂ
»Ø¸´´ËÂ¥
ÎһķϵĽñÈÕ£¬ÕýÊÇ×òÌìéæÉíÖ®ÈËÆíÇóµÄÃ÷ÈÕ¡£
4Â¥
2015-05-16 09:23:43
ÒÑÔÄ
»Ø¸´´ËÂ¥
¹Ø×¢TA
¸øTA·¢ÏûÏ¢
ËÍTAºì»¨
TAµÄ»ØÌû
huitao
½ð³æ
(СÓÐÃûÆø)
Ó¦Öú: 17
(СѧÉú)
½ð±Ò: 1495.6
É¢½ð: 22
Ìû×Ó: 157
ÔÚÏß: 60Сʱ
³æºÅ: 2227460
×¢²á: 2013-01-07
ÐÔ±ð: GG
רҵ: ×ÊÔ´»¯¹¤
¡¾´ð°¸¡¿Ó¦Öú»ØÌû
¸Ðл²ÎÓ룬ӦÖúÖ¸Êý +1
µÚ¶þ²¿·´Ó¦»ùÍÅÓеã¶à£¬¿¼ÂǰѰ·»ù·âÆðÀ´
ÔÞ
Ò»ÏÂ
»Ø¸´´ËÂ¥
µÈ´ý¾ÍÊÇÀË·ÑÇà´º!!
5Â¥
2015-05-16 10:22:45
ÒÑÔÄ
»Ø¸´´ËÂ¥
¹Ø×¢TA
¸øTA·¢ÏûÏ¢
ËÍTAºì»¨
TAµÄ»ØÌû
Ïà¹Ø°æ¿éÌø×ª
Óлú½»Á÷
Óлú×ÊÔ´
¸ß·Ö×Ó
ÎÞ»ú/Îﻯ
·ÖÎö
´ß»¯
¹¤ÒÕ¼¼Êõ
»¯¹¤É豸
ʯÓÍ»¯¹¤
¾«Ï¸»¯¹¤
µç»¯Ñ§
»·¾³
SciFinder/Reaxys
ÎÒÒª¶©ÔÄÂ¥Ö÷
³ÁÏã5268
µÄÖ÷Ìâ¸üÐÂ
5
1/1
·µ»ØÁбí
Èç¹û»ØÌûÄÚÈݺ¬ÓÐÐû´«ÐÅÏ¢£¬ÇëÈçʵѡÖС£·ñÔòÕʺŽ«±»È«ÂÛ̳½ûÑÔ
ÆÕͨ±íÇé
Áú
ÍÃ
Ȣ
è
°Ù¶ÈÍøÅÌ
|
360ÔÆÅÌ
|
ǧÒ×ÍøÅÌ
|
»ªÎªÍøÅÌ
ÔÚд°¿ÚÒ³ÃæÖдò¿ª×Ô¼ºÏ²»¶µÄÍøÅÌÍøÕ¾£¬½«ÎļþÉÏ´«ºó£¬È»ºó½«ÏÂÔØÁ´½Ó¸´ÖƵ½Ìû×ÓÄÚÈÝÖоͿÉÒÔÁË¡£
ÐÅÏ¢Ìáʾ
¹Ø±Õ
ÇëÌî´¦ÀíÒâ¼û
¹Ø±Õ
È·¶¨