Znn3bq.jpeg
²é¿´: 835  |  »Ø¸´: 1

СÑù¶ù5210k

½ð³æ (ÖøÃûдÊÖ)

[ÇóÖú] ¶à¿×Èȵç²ÄÁÏ ÈȵçÐÔÄܵı仯»úÀí ÒÑÓÐ1È˲ÎÓë

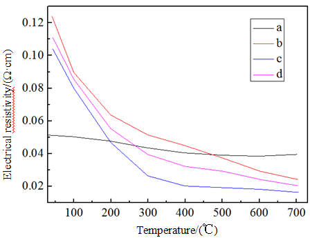
Èȵç²ÄÁÏ£ºCa3Co4O9
ÎÒÕâ¸öa,b,c,dÒÀ´ÎÊÇÌí¼ÓÔì¿×¼Á0£¬2%,4%,6%,ÔÚÕû¸öζȷ¶Î§ÄÚÇúÏ߱仯µÄ»úÀíÊÇʲô£¿

¶à¿×Èȵç²ÄÁÏ   ÈȵçÐÔÄܵı仯»úÀí
r.png


¶à¿×Èȵç²ÄÁÏ   ÈȵçÐÔÄܵı仯»úÀí-1
t.png

[ Last edited by ´©Ô½Ç§Äê on 2015-5-15 at 22:08 ]
»Ø¸´´ËÂ¥

» ²ÂÄãϲ»¶

» ±¾Ö÷ÌâÏà¹ØÉ̼ÒÍÆ¼ö: (ÎÒÒ²ÒªÔÚÕâÀïÍÆ¹ã)

» ±¾Ö÷ÌâÏà¹Ø¼ÛÖµÌùÍÆ¼ö£¬¶ÔÄúͬÑùÓаïÖú:

ÒÑÔÄ   »Ø¸´´ËÂ¥   ¹Ø×¢TA ¸øTA·¢ÏûÏ¢ ËÍTAºì»¨ TAµÄ»ØÌû

´©Ô½Ç§Äê

°æÖ÷ (ÖøÃûдÊÖ)

¼Åį¶ÁÊéµÄСºÍÉÐ

ÓÅÐã°æÖ÷ÓÅÐã°æÖ÷ÓÅÐã°æÖ÷ÓÅÐã°æÖ÷

¡¾´ð°¸¡¿Ó¦Öú»ØÌû

¸Ðл²ÎÓ룬ӦÖúÖ¸Êý +1
ÌṩµÄÐÅϢ̫ÉÙ£¬»òÐíµ£Ðı£ÃÜÎÊÌ⣬»¹ÊDzâ²âHallÒÔ¼°¹Û²ìÏÂ×éÖ¯ÔÙÀ´·ÖÎöµçѧÐÔÄܰɡ£
Èȵç²ÄÁÏ£¬Ïà±ä²ÄÁÏ£¬×è±ä²ÄÁÏ£¬APT£¬EBSD
2Â¥2015-05-15 22:10:05
ÒÑÔÄ   »Ø¸´´ËÂ¥   ¹Ø×¢TA ¸øTA·¢ÏûÏ¢ ËÍTAºì»¨ TAµÄ»ØÌû
Ïà¹Ø°æ¿éÌø×ª ÎÒÒª¶©ÔÄÂ¥Ö÷ СÑù¶ù5210k µÄÖ÷Ìâ¸üÐÂ
×î¾ßÈËÆøÈÈÌûÍÆ¼ö [²é¿´È«²¿] ×÷Õß »Ø/¿´ ×îºó·¢±í
[¿¼ÑÐ] 347Çóµ÷¼Á +4 mhyqyy 2026-04-06 4/200 2026-04-12 02:27 by Çï¶¹²ËÑ¿
[¿¼ÑÐ] ¿¼ÑÐÇóµ÷¼Á +3 ban°àСÆß 2026-04-11 3/150 2026-04-11 20:48 by may_ÐÂÓî
[¿¼ÑÐ] Çóµ÷¼Á +6 µçÆø300Çóµ÷¼Á²» 2026-04-08 6/300 2026-04-11 20:14 by ÄæË®³Ë·ç
[¿¼ÑÐ] 11408¡£358Çóµ÷¼Á +3 TMYzds 2026-04-07 3/150 2026-04-11 17:10 by µªÆøÆøÆø
[¿¼ÑÐ] µ÷¼ÁÇóÖú +6 ¹ûÈ»ÓÐÎÒ 2026-04-11 7/350 2026-04-11 16:22 by Ã÷Ô´ËʱÓÐ
[¿¼ÑÐ] È˹¤ÖÇÄÜ320µ÷¼Á08¹¤À໹Óлú»áÂð +11 Õñ¡ªTZ 2026-04-10 11/550 2026-04-10 21:51 by blankyung
[¿¼ÑÐ] 263ÄÜÔ´¶¯Á¦×¨Ë¶Çóµ÷¼Á +4 ¼Ó´óºÅ·¹ºÐ´ü 2026-04-10 4/200 2026-04-10 20:52 by gong120082
[¿¼ÑÐ] 336²ÄÁÏÓ뻯¹¤085600Çóµ÷¼Á +21 Ë®ÐǼÇinfp 2026-04-05 24/1200 2026-04-10 15:28 by luoyongfeng
[¿¼ÑÐ] Ò»Ö¾Ô¸211 0703»¯Ñ§ 346·ÖÇóµ÷¼Á +22 ÍÁ¶¹er? 2026-04-09 23/1150 2026-04-10 10:58 by ¸ßά´º
[¿¼ÑÐ] ¿¼Ñе÷¼Á-²ÄÁÏÀà-284 +28 Ïë»»ÊÖ»ú²»Ïë½âÊ 2026-04-08 28/1400 2026-04-09 20:08 by µ¹Êý321?
[¿¼ÑÐ] Çóµ÷¼ÁÏ£Íû»¹ÊÇÏ£ÍûÔÚɽºÓËÄÊ¡¸½½ü +3 ¿ìÀÖµÄС°×¸ë 2026-04-05 3/150 2026-04-09 17:36 by wp06
[¿¼ÑÐ] 332£¬085601Çóµ÷¼Á +12 ydfyh 2026-04-09 14/700 2026-04-09 17:28 by wp06
[¿¼ÑÐ] Ò»Ö¾Ô¸ÎäÀí³µÁ¾ 281 Çóµ÷¼Á +5 Éϰ¶Ñо¿Éú. 2026-04-07 5/250 2026-04-09 15:56 by onlyÖÜ
[¿¼ÑÐ] 086000ÉúÎïÓëÒ½Ò©µ÷¼Á +7 awwwwwooooo 2026-04-09 7/350 2026-04-09 13:31 by ±±¼«159263
[¿¼ÑÐ] 285Çóµ÷¼Á +12 AZMK 2026-04-05 18/900 2026-04-08 20:43 by ÄæË®³Ë·ç
[¿¼ÑÐ] 298Çóµ÷¼Á +4 manman511 2026-04-05 4/200 2026-04-08 16:50 by tjzhao
[¿¼ÑÐ] Ò»Ö¾Ô¸¼ª´ó»¯Ñ§327Çóµ÷¼Á +12 ÍõÍõ°×ʯ 2026-04-06 13/650 2026-04-08 16:05 by luoyongfeng
[¿¼ÑÐ] 071000ÉúÎïѧ£¬Ò»Ö¾Ô¸ÉîÛÚ´óѧ296·Ö£¬Çóµ÷¼Á +12 TIckLw 2026-04-06 13/650 2026-04-07 20:34 by lijunpoly
[¿¼ÑÐ] 22408 318·ÖÇóµ÷¼Á +4 ÇڷܵÄСÁý°ü 2026-04-06 6/300 2026-04-07 15:05 by Ö½º×555
[¿¼ÑÐ] Çóµ÷¼Á +10 chenxrlkx 2026-04-05 10/500 2026-04-06 11:31 by Öí»á·É
ÐÅÏ¢Ìáʾ
ÇëÌî´¦ÀíÒâ¼û