| 查看: 387 | 回复: 0 | ||
zxwNevermore新虫 (小有名气)
|
[求助]
对图像使用最小二乘拟合回归到椭圆高斯函数,如何实现啊
|
|
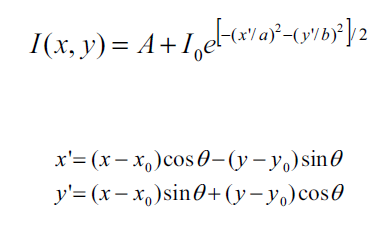
对最小二乘和椭圆高斯函数之间的关系不太理解,知道的可以解释下吗?椭圆高斯函数是图片中的,其中I(x,y)和A,I0是已知的,需要求出x0,y0,a,b四个未知数,方程组远多于未知数的个数,代码该怎么写啊,感觉无从下手。 无标题.png |
» 猜你喜欢
基于基元I统一理论的量子力学本源推导
已经有1人回复
推荐一款可以AI辅助写作的Latex编辑器SmartLatexEditor,超级好用,AI润色,全免费
已经有20人回复
物理学I论文润色/翻译怎么收费?
已经有232人回复
【EI|Scopus 双检索】第六届智能机器人系统国际会议(ISoIRS 2026)
已经有1人回复
2026年第四届电动车与车辆工程国际会议(CEVVE 2026)
已经有0人回复
找到一些相关的精华帖子,希望有用哦~
如何用matlab实现分峰拟合?
已经有18人回复
如何实现对图像的批量截取椭圆部分
已经有9人回复
非线性最小二乘拟合(初值问题)lsqcurvefit 函数的设定
已经有14人回复
现在做到高斯函数的误差函数一步,又是一个方程不知道用matlab怎么写
已经有14人回复
【求助】如何拟合图像灰度概率分布
已经有9人回复
科研从小木虫开始,人人为我,我为人人













回复此楼
点击这里搜索更多相关资源