| 查看: 943 | 回复: 2 | |
[求助]
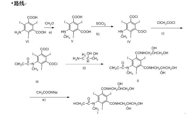
关于碘美普尔的,求助有经验者 已有1人参与
|
|
|
|
|
![]() |
|
|
2楼2015-07-17 11:54:41
|
|
|
3楼2017-04-25 09:07:13
|
|














回复此楼
