| 查看: 1239 | 回复: 3 | ||
[求助]
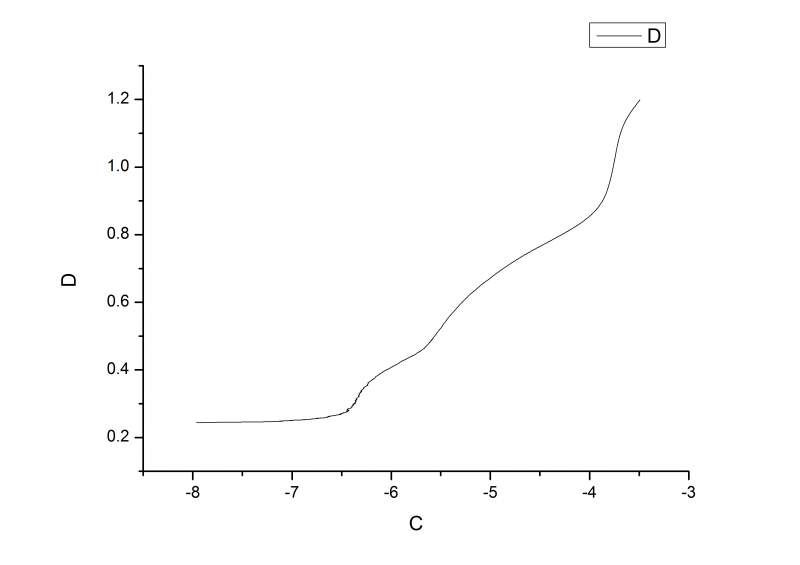
为什么我的塔菲图会是这样的?那么它有tafel区吗?
|
|
图中为什么没有塔菲儿区呢?为什么会出现折线,折线是不是可以说明是有不止一个电子转移的反应?有tafel区吗?tafel区不都是直线部分吗?线扫中为什么会有这样的平台,是不是说明有不止一个电化学反应?为什么文献中的析氧反应中都没有折线?是什么原因? TAFEL-1.jpg lsv.png |
» 猜你喜欢
招贤纳博(已结束)
已经有28人回复
表征测试机构后台私聊我
已经有0人回复
分析化学论文润色/翻译怎么收费?
已经有178人回复
Coordination Chemistry Reviews
已经有1人回复
请问现在还有电池材料方向的博导招人吗
已经有2人回复
![]() |
2楼2017-08-19 10:31:31
![]() |
3楼2017-08-20 06:28:31
![]() |
4楼2017-08-20 08:55:57














回复此楼

