| ²é¿´: 281 | »Ø¸´: 0 | ||
beifantasy½ð³æ (СÓÐÃûÆø)
|
[ÇóÖú]
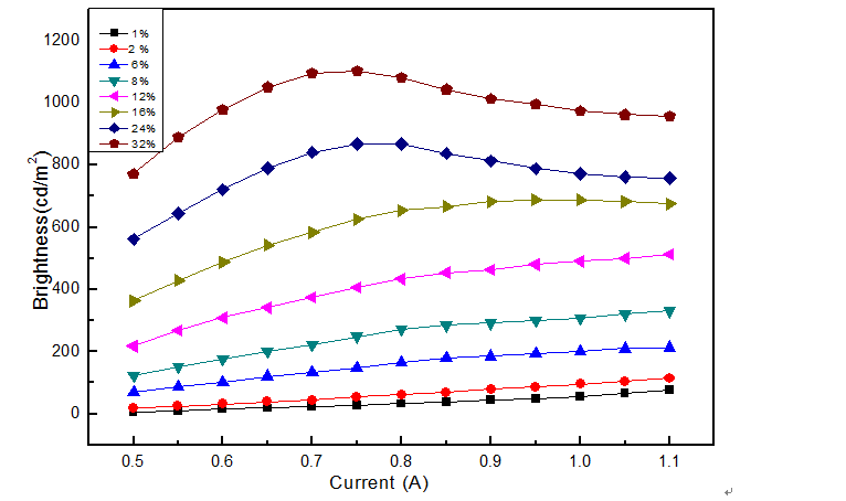
ÉÏת»»·¢¹â²ÄÁÏ-ÎÙËáÑβôÔÓYbºÍErµÄÁÁ¶ÈÇúÏß·ÖÎö
|
|
Ëæ×ŵçÁ÷µÄÔö¼Ó£¬ÎªÊ²Ã´µÍŨ¶ÈʱÇúÏ߱仯ÊÇÒ»Ö±Ôö¼ÓµÄ£¿ÎªÊ²Ã´Å¨¶Èµ½ÁË24%ÒÔÉÏÁÁ¶ÈÇúÏß³ÊÏÈÉÏÉýºóϽµµÄÇ÷ÊÆ£¿ÇóÏêϸµÄ½âÊÍ£¬Ð»Ð»ÁË 3LY`J7XWMOK~F5}U)1M{A`1.png |
» ²ÂÄãϲ»¶
299Çóµ÷¼Á
ÒѾÓÐ8È˻ظ´
Ò»Ö¾Ô¸±±¾©Àí¹¤´óѧ±¾¿Æ211²ÄÁϹ¤³Ì294Çóµ÷¼Á
ÒѾÓÐ6È˻ظ´
300Çóµ÷¼Á£¬²ÄÁÏ¿ÆÑ§Ó¢Ò»Êý¶þ
ÒѾÓÐ8È˻ظ´
ÕÐÊÕÉúÎïѧ/ϸ°ûÉúÎïѧµ÷¼Á
ÒѾÓÐ5È˻ظ´
070305¸ß·Ö×Ó»¯Ñ§ÓëÎïÀí 304·ÖÇóµ÷¼Á
ÒѾÓÐ7È˻ظ´
289Çóµ÷¼Á
ÒѾÓÐ13È˻ظ´
Ò»Ö¾Ô¸¹þ¶û±õ¹¤Òµ´óѧ²ÄÁÏÓ뻯¹¤·½Ïò336·Ö
ÒѾÓÐ9È˻ظ´
081200-11408-276ѧ˶Çóµ÷¼Á
ÒѾÓÐ6È˻ظ´
µ÷¼ÁÇóԺУÕÐÊÕ
ÒѾÓÐ5È˻ظ´
µ÷¼Á310
ÒѾÓÐ8È˻ظ´
» ±¾Ö÷ÌâÏà¹ØÉ̼ÒÍÆ¼ö: (ÎÒÒ²ÒªÔÚÕâÀïÍÆ¹ã)

ÕÒµ½Ò»Ð©Ïà¹ØµÄ¾«»ªÌû×Ó£¬Ï£ÍûÓÐÓÃŶ~
Ôõô¼ÆËãNaYF4: Yb, Er ÉÏת»»ÄÉÃ×Á£×ÓµÄĦ¶ûÖÊÁ¿
ÒѾÓÐ6È˻ظ´
¡¾ÇóÖú¡¿ÇóÖúNaYF4¡ÃYb , Er/Tm ÉÏת»»Ó«¹âÄÉÃײÄÁÏ
ÒѾÓÐ7È˻ظ´
¿ÆÑдÓСľ³æ¿ªÊ¼£¬ÈËÈËΪÎÒ£¬ÎÒΪÈËÈË














»Ø¸´´ËÂ¥

µã»÷ÕâÀïËÑË÷¸ü¶àÏà¹Ø×ÊÔ´