| 查看: 589 | 回复: 2 | ||
稀奇朗朗木虫 (小有名气)
|
[求助]
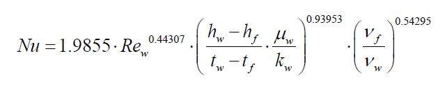
请问大婶,怎样用oringin拟合出下面的公式 已有1人参与
|
|
|
|
||
wangqing2002108铁杆木虫 (职业作家)
|
||
![]() |
||
|
2楼2015-05-05 20:21:46
|
|
|
wangqing2002108铁杆木虫 (职业作家)
|
【答案】应助回帖
★ ★ ★ ★ ★ ★ ★ ★ ★ ★
稀奇朗朗: 金币+10, 谢谢大婶,很详细 2015-05-06 09:55:33
|
|
![]() |
||
|
3楼2015-05-05 21:52:58
|
|














回复此楼
