| 查看: 373 | 回复: 0 | ||
[求助]
双倒数总是不能交于一点,急急急
|
|
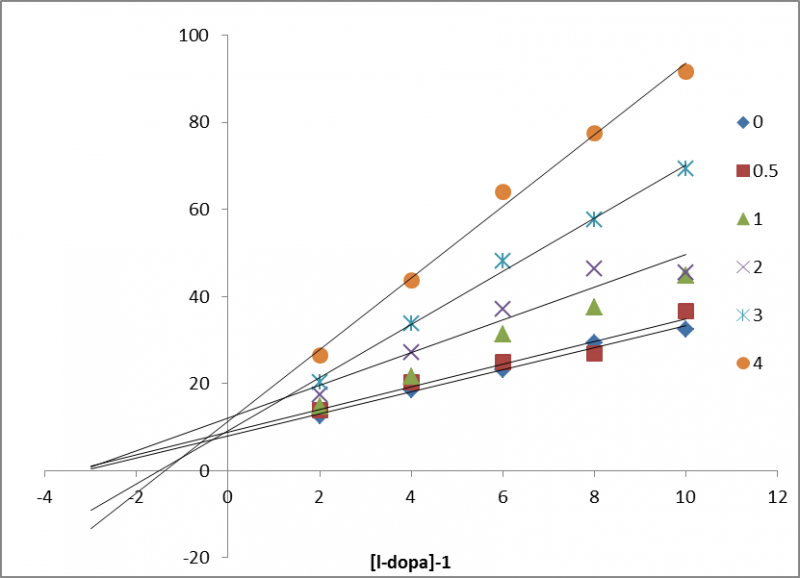
最近在做又抑制剂存在下的酶动力学实验,在做双倒数实验时,用EXCEL做出的线总是不能交于一点,急求原因。 我的实验方法是参照厦大陈清西老师团队的方案:3ml磷酸盐体系中,2.8ml 不同浓度的底物+0.1ml抑制剂+0.1ml 酶 双倒数.png |
» 猜你喜欢
求调剂 有机化学考研356分
已经有4人回复
0703 化学 求调剂,一志愿山东大学 342 分
已经有4人回复
086000生物与医药调剂
已经有7人回复
305求调剂
已经有7人回复
348求调剂
已经有3人回复
332求调剂
已经有6人回复
各位老师好,我的一志愿为北京科技大学085601材料专硕
已经有6人回复
085600 材料与化工 329分求调剂
已经有10人回复
356求调剂
已经有3人回复
一志愿武汉理工,总分321,英一数二,求老师收留。
已经有7人回复














回复此楼