| 查看: 540 | 回复: 0 | ||
[求助]
matlab偏微分隐函数方程组中含有拉普拉斯算子,画出函数图像
|
|
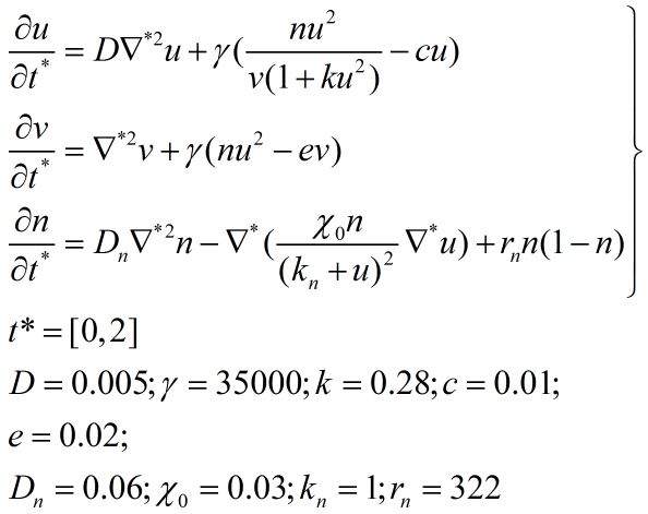
大家好,因为matlab刚入门,实在做不来这个方程组的问题,想请大家给点提示,能给出具体编程过程再感谢不过! 方程组和参数如图 u、v、n是三个函数(二维空间问题),时间变量以及其他字母都是参数并且有值,最后要求绘制函数n(x,y)的图像,没什么思路,想请大家帮忙看一下 多谢!! Equa.JPG |
» 猜你喜欢
光学工程学硕调剂信息
已经有32人回复
欢迎加入课题组
已经有0人回复
物理学I论文润色/翻译怎么收费?
已经有270人回复
散金币,求好运,祝面上顺利!
已经有79人回复
华东师范大学芯片设计徐珑真实水平咋样
已经有1人回复
调剂
已经有0人回复
【新加坡】纳米电子器件项目组有“联合培养博士生”名额
已经有0人回复
中德博士后2026项目5月30日截止- 国内博士后入站、德国两年全职
已经有0人回复
面向全球申请人的中德博士后2026项目5月30日截止- 国内博后入站德国两年全职
已经有0人回复
【新加坡】纳米电子器件项目组有“联合培养博士生”名额
已经有2人回复
重庆交大材料学院26年硕士招生复试实施细则已出。欢迎加入光子学微结构与器件课题组。
已经有0人回复













回复此楼
6