| ²é¿´: 237 | »Ø¸´: 3 | ||
kukmoonľ³æ (ÕýʽдÊÖ)
¹ÈÔÂ
|
[ÇóÖú]
ÔõÑù²ÅÄÜÈöþÒÒ»ùÈý°·Ö»ÊÇÉú³ÉÏß×´¸ß·Ö×Ó£¬²»ÊÇ·ÖÖ§×´¸ß·Ö×Ó£¿
|
|
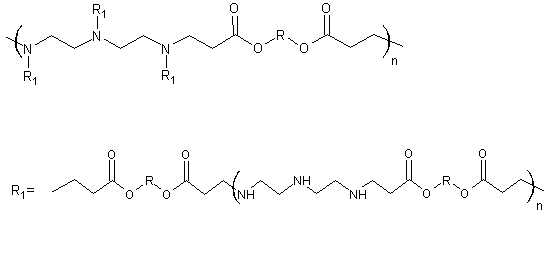
ÎÒ±¾¿ÆÃ»Ñ§¹ý¸ß·Ö×Ó»¯Ñ§£¬×î½üÔÚ×ö¸ß·Ö×Ӻϳɣ¬ÓöþÒÒÏ©Èý°·ºÍÒ»ÖÖ¶þ±ûÏ©Ëáõ¥ºÏ³É¸ß·Ö×Ó£¬ÎÄÏ×±¨µÀ²úÎïÊÇÏß×´¸ß·Ö×Ó£¬Èçͼ1Ëùʾ£º µ«ÊÇ£¬¶þÒÒÏ©Èý°·ÓÐ3¸ö°±»ù£¬°±»ùÉϹ²ÓÐ5¸öÇâÔ×Ó£¬ÀíÂÛÉÏ£¬5¸öÇâÔ×Ó¶¼ÓпÉÄÜ·¢Éú·´Ó¦£¬Éú³ÉÈçͼ2ËùʾµÄ·ÖÖ§×´¸ß·Ö×Ó¡£ ÀíÂÛÉÏ£¬ÉõÖÁÖ§Á´Éϵݱ»ùÇâ»áÓëË«¼ü̼Ôٴη´Ó¦£¬Éú³ÉÍø×´¸ß·Ö×Ó¡£ ÎÄÏ×Éϲ¢Ã»ÓÐÌáµ½ÈçºÎ¿ØÖÆ·´Ó¦Ìõ¼þ±ÜÃâÉú³É·ÖÖ§×´¸ß·Ö×Ó¡£ÎÒ×Ô¼ºÒ²²»¶®£¬Ö»ÄÜÀ´¸ß·Ö×Ó°æÇë½Ì¸÷λÓоÑéµÄÅóÓÑ£º £¨1£©Éú³É·ÖÖ§×´¸ß·Ö×ӵĿÉÄÜÐÔÓжà´ó£¿ £¨2£©ÈçºÎ¿ØÖÆ·´Ó¦Ìõ¼þ£¬×î´óÏ޶ȵؼõÉÙ·ÖÖ§×´¸ß·Ö×ÓµÄÉú³É£¬ÈÃÕâÒ»·´Ó¦Ö÷Òª²úÉúÏß×´¸ß·Ö×Ó£¿ ·Ç³£¸Ðл¸÷λ£¬Ô¤ÏÈ×¼±¸½ð±ÒËÍÉÏ¡£ |
» ²ÂÄãϲ»¶
288×ÊÔ´Óë»·¾³×¨Ë¶Çóµ÷¼Á£¬²»ÏÞרҵ£¬ÓÐѧÉϾÍÐÐ
ÒѾÓÐ20È˻ظ´
311£¨085601£©Çóµ÷¼Á
ÒѾÓÐ11È˻ظ´
²ÄÁϵ÷¼Á
ÒѾÓÐ12È˻ظ´
Ò»Ö¾Ô¸ ÄϾ©º½¿Õº½Ìì´óѧ £¬080500²ÄÁÏ¿ÆÑ§Ó빤³Ìѧ˶
ÒѾÓÐ3È˻ظ´
0856²ÄÁÏÓ뻯¹¤µ÷¼Á£¬339
ÒѾÓÐ6È˻ظ´
08¹¤¿Æ275·ÖÇóµ÷¼Á
ÒѾÓÐ6È˻ظ´
334·Ö Ò»Ö¾Ô¸ÎäÀí-080500 ²ÄÁÏÇóµ÷¼Á
ÒѾÓÐ10È˻ظ´
324·Ö 085600²ÄÁÏÓ뻯¹¤
ÒѾÓÐ7È˻ظ´
¸÷λÀÏʦºÃ£¬ÎÒµÄһ־ԸΪ±±¾©¿Æ¼¼´óѧ085601²ÄÁÏר˶
ÒѾÓÐ11È˻ظ´
309Çóµ÷¼Á
ÒѾÓÐ6È˻ظ´
» ±¾Ö÷ÌâÏà¹ØÉ̼ÒÍÆ¼ö: (ÎÒÒ²ÒªÔÚÕâÀïÍÆ¹ã)
» ±¾Ö÷ÌâÏà¹Ø¼ÛÖµÌùÍÆ¼ö£¬¶ÔÄúͬÑùÓаïÖú:
Ê®°ËÍé»ù°·»ù¶þ¼×»ùÈý¼×Ñõ»ù¼×ÎùÍé»ù±û»ùÂÈ»¯ï§ ÊÇʲô£¿
ÒѾÓÐ6È˻ظ´
»·ÑõÂȱûÍéºÍ¶þÒÒÏ©Èý°··´Ó¦Éú³Éʲô°¡£¿
ÒѾÓÐ6È˻ظ´
PMDETAÎå¼×»ù¶þÒÒÏ©Èý°·ÈçºÎ±£´æ
ÒѾÓÐ6È˻ظ´
200L·´Ó¦¸ª£¨316L£©ÌåϵÖÐÊÇË®¡¢ ¶þÒÒÏ©Èý°·¡¢ÈýÒÒÏ©Ëİ· Ŀǰ¹¤ÒÕÊÇÒªÇó½«Ë®·Ö³ö
ÒѾÓÐ12È˻ظ´
±ûÏ¡õ£°·Óë¼×»ù±ûÏ©õ£ÑõÒÒ»ùÈý¼×»ùÂÈ»¯ï§¾ÛºÏÊôÓÚʲôÀàÐ͵ģ¿
ÒѾÓÐ4È˻ظ´

kukmoon
ľ³æ (ÕýʽдÊÖ)
¹ÈÔÂ
- Ó¦Öú: 9 (Ó×¶ùÔ°)
- ½ð±Ò: 2177.9
- É¢½ð: 99
- ºì»¨: 4
- Ìû×Ó: 323
- ÔÚÏß: 104.1Сʱ
- ³æºÅ: 547083
- ×¢²á: 2008-04-16
- רҵ: Ò©¼Áѧ

2Â¥2015-04-24 17:44:03
kukmoon
ľ³æ (ÕýʽдÊÖ)
¹ÈÔÂ
- Ó¦Öú: 9 (Ó×¶ùÔ°)
- ½ð±Ò: 2177.9
- É¢½ð: 99
- ºì»¨: 4
- Ìû×Ó: 323
- ÔÚÏß: 104.1Сʱ
- ³æºÅ: 547083
- ×¢²á: 2008-04-16
- רҵ: Ò©¼Áѧ

3Â¥2015-04-24 20:27:31
kukmoon
ľ³æ (ÕýʽдÊÖ)
¹ÈÔÂ
- Ó¦Öú: 9 (Ó×¶ùÔ°)
- ½ð±Ò: 2177.9
- É¢½ð: 99
- ºì»¨: 4
- Ìû×Ó: 323
- ÔÚÏß: 104.1Сʱ
- ³æºÅ: 547083
- ×¢²á: 2008-04-16
- רҵ: Ò©¼Áѧ

4Â¥2015-04-29 14:16:20














»Ø¸´´ËÂ¥