| 查看: 1439 | 回复: 9 | |||
cmnmnvp845铜虫 (初入文坛)
|
[求助]
数学小白,请教众大牛们关于解一元二次非线性方程组的问题。
|
|
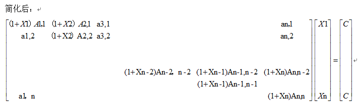
我需要解两个矩阵,都是关于X和Y的,第二个矩阵很好解,可以将X与Y的关系式求出来, 代入第一个矩阵,但是第一个矩阵简化后是是一元二次非线性方程组 我列出了简化后的矩阵,C是不变的常数,ann和Ann的表达式不一样。 怎么求X,求各位大神赐教。 矩阵求解.png 简化的后的矩阵.png [ Last edited by cmnmnvp845 on 2015-4-19 at 20:01 ] |
» 本帖已获得的红花(最新10朵)
» 猜你喜欢
人工智能320调剂08工类还有机会吗
已经有17人回复
考研英一数一338分
已经有10人回复
求助调剂,跨调
已经有15人回复
085600材料与化工329分求调剂
已经有20人回复
085600材料与化工349分求调剂
已经有15人回复
求调剂
已经有13人回复
一志愿华南理工大学331分材料求调剂
已经有11人回复
271求调剂
已经有40人回复
求调剂学校
已经有3人回复
332求调剂
已经有15人回复
feixiaolin
荣誉版主 (文坛精英)
-

专家经验: +518 - 应助: 942 (博后)
- 贵宾: 1.275
- 金币: 3880
- 散金: 58785
- 红花: 532
- 沙发: 11
- 帖子: 24215
- 在线: 2601.8小时
- 虫号: 2139575
- 注册: 2012-11-21
- 专业: 光学信息获取与处理
- 管辖: 数学
2楼2015-04-20 21:16:21
cmnmnvp845
铜虫 (初入文坛)
- 应助: 0 (幼儿园)
- 金币: 969.8
- 红花: 1
- 帖子: 37
- 在线: 18.6小时
- 虫号: 3076665
- 注册: 2014-03-21
- 专业: 石油天然气开采
3楼2015-04-21 15:22:55
feixiaolin
荣誉版主 (文坛精英)
-

专家经验: +518 - 应助: 942 (博后)
- 贵宾: 1.275
- 金币: 3880
- 散金: 58785
- 红花: 532
- 沙发: 11
- 帖子: 24215
- 在线: 2601.8小时
- 虫号: 2139575
- 注册: 2012-11-21
- 专业: 光学信息获取与处理
- 管辖: 数学
4楼2015-04-21 15:55:06
cmnmnvp845
铜虫 (初入文坛)
- 应助: 0 (幼儿园)
- 金币: 969.8
- 红花: 1
- 帖子: 37
- 在线: 18.6小时
- 虫号: 3076665
- 注册: 2014-03-21
- 专业: 石油天然气开采
5楼2015-04-22 20:30:56
cmnmnvp845
铜虫 (初入文坛)
- 应助: 0 (幼儿园)
- 金币: 969.8
- 红花: 1
- 帖子: 37
- 在线: 18.6小时
- 虫号: 3076665
- 注册: 2014-03-21
- 专业: 石油天然气开采
6楼2015-04-22 22:10:11
feixiaolin
荣誉版主 (文坛精英)
-

专家经验: +518 - 应助: 942 (博后)
- 贵宾: 1.275
- 金币: 3880
- 散金: 58785
- 红花: 532
- 沙发: 11
- 帖子: 24215
- 在线: 2601.8小时
- 虫号: 2139575
- 注册: 2012-11-21
- 专业: 光学信息获取与处理
- 管辖: 数学
7楼2015-04-23 06:44:46
cmnmnvp845
铜虫 (初入文坛)
- 应助: 0 (幼儿园)
- 金币: 969.8
- 红花: 1
- 帖子: 37
- 在线: 18.6小时
- 虫号: 3076665
- 注册: 2014-03-21
- 专业: 石油天然气开采
8楼2015-04-23 11:43:44
feixiaolin
荣誉版主 (文坛精英)
-

专家经验: +518 - 应助: 942 (博后)
- 贵宾: 1.275
- 金币: 3880
- 散金: 58785
- 红花: 532
- 沙发: 11
- 帖子: 24215
- 在线: 2601.8小时
- 虫号: 2139575
- 注册: 2012-11-21
- 专业: 光学信息获取与处理
- 管辖: 数学
9楼2015-04-23 16:51:03
cmnmnvp845
铜虫 (初入文坛)
- 应助: 0 (幼儿园)
- 金币: 969.8
- 红花: 1
- 帖子: 37
- 在线: 18.6小时
- 虫号: 3076665
- 注册: 2014-03-21
- 专业: 石油天然气开采
10楼2015-04-26 13:07:51














回复此楼
cmnmnvp845
5