24小时热门版块排行榜    

查看: 296  |  回复: 0

zhang140110

铁虫 (小有名气)

[求助] 关于张量

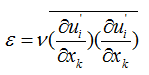
请问,公式中的张量,如果表示为非张量形式,是什么?

关于张量
zhangliang.png
回复此楼

» 猜你喜欢

好好学习,天天向上。
已阅   回复此楼   关注TA 给TA发消息 送TA红花 TA的回帖
相关版块跳转 我要订阅楼主 zhang140110 的主题更新
最具人气热帖推荐 [查看全部] 作者 回/看 最后发表
[考研] 生物学学硕求调剂 +5 小羊睡着了? 2026-03-23 5/250 2026-03-24 06:42 by ilovexiaobin
[考研] 一志愿山东大学药学学硕求调剂 +3 开开心心没烦恼 2026-03-23 4/200 2026-03-24 00:06 by 开开心心没烦恼
[考研] 一志愿北京化工大学 070300 学硕 336分 求调剂 +7 vv迷 2026-03-22 7/350 2026-03-23 23:44 by Txy@872106
[考研] 085600材料与化工调剂 +7 A-哆啦Z梦 2026-03-23 12/600 2026-03-23 23:16 by 星空星月
[考研] 一志愿中南大学化学学硕0703总分337求调剂 +5 niko- 2026-03-22 5/250 2026-03-23 22:01 by fuyu_
[考研] 328求调剂 +4 LHHL66 2026-03-23 4/200 2026-03-23 14:55 by lbsjt
[考研] 一志愿东华大学化学070300,求调剂 +7 2117205181 2026-03-21 8/400 2026-03-22 22:55 by chixmc
[考研] 石河子大学(211、双一流)硕博研究生长期招生公告 +3 李子目 2026-03-22 3/150 2026-03-22 21:01 by 怎么释怀
[考研] 求调剂院校信息 +6 CX 330 2026-03-21 6/300 2026-03-22 15:25 by 无懈可击111
[考研] 085600材料与化工306 +4 z1z2z3879 2026-03-21 4/200 2026-03-21 23:44 by ms629
[考研] 求调剂 +3 13341 2026-03-20 3/150 2026-03-21 18:28 by 学员8dgXkO
[考研] 085700资源与环境308求调剂 +12 墨墨漠 2026-03-18 13/650 2026-03-21 01:42 by JourneyLucky
[考研] 一志愿华南师大 070300(化学)304分求调剂 +3 0703武芊慧雪304 2026-03-18 3/150 2026-03-21 00:48 by JourneyLucky
[考研] 一志愿重庆大学085700资源与环境专硕,总分308求调剂 +3 墨墨漠 2026-03-18 3/150 2026-03-21 00:39 by JourneyLucky
[考研] 321求调剂 +9 何润采123 2026-03-18 11/550 2026-03-20 23:19 by JourneyLucky
[考研] 330求调剂 +4 小材化本科 2026-03-18 4/200 2026-03-20 23:13 by JourneyLucky
[考研] A区线材料学调剂 +5 周周无极 2026-03-20 5/250 2026-03-20 21:33 by laoshidan
[考研] 一志愿南理工085701环境302求调剂院校 +3 葵梓卫队 2026-03-20 3/150 2026-03-20 19:28 by zhukairuo
[考研] 0856调剂,是学校就去 +8 sllhht 2026-03-19 9/450 2026-03-20 14:25 by 无懈可击111
[考研] 一志愿福大288有机化学,求调剂 +3 小木虫200408204 2026-03-18 3/150 2026-03-19 13:31 by houyaoxu
信息提示
请填处理意见