| 查看: 480 | 回复: 2 | ||
[求助]
醌类化合物氧化电位 redox potential of quinone 已有1人参与
|
|
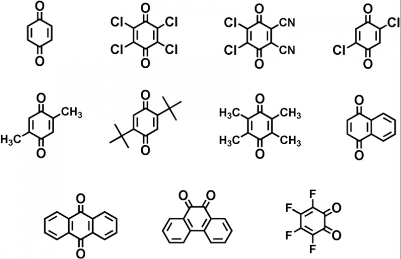
请教各位电化学专家们,我想问一下,醌类化合物的氧化电位是多少?越详细越好~主要针对苯醌,甲基苯醌,四氯苯醌,二氯二氰基苯醌等等一系列的醌类的衍生物的氧化电位~ 现在已经知道的如图所示 已经知道的醌类.png 需要知道的各种醌类.png |
» 猜你喜欢
德国Karlsruhe Institute of Technology招收电化学储能及联合培养CSC博士等
已经有20人回复
德国Karlsruhe Institute of Technology招收电化学储能及联合培养CSC博士
已经有24人回复
分析化学论文润色/翻译怎么收费?
已经有291人回复
德国Karlsruhe Institute of Technology招收电化学储能及联合培养CSC博士
已经有1人回复
固态锂金属电池迁移数计算求助
已经有1人回复
荷兰奈梅亨大学赵文博与Galimberti课题组招收理论计算CSC博士 2000 欧元/月+房补
已经有0人回复
26储能博士申请自荐
已经有22人回复
上海交通大学--宁波东方理工大学电池方向博士招生
已经有10人回复
海南大学全国重点实验室杨金霖老师招收储能电池方向博士生(2026年3月报名,9月入学)
已经有1人回复
海南师范大学2026年博士研究生招收 (在职想提升学历人员可报考) 申请考核制+普通招考
已经有0人回复
申博求助
已经有0人回复
2楼2015-04-16 18:25:53
Jackcd12
至尊木虫 (知名作家)
- ECEPI: 13
- 应助: 2150 (讲师)
- 金币: 13687.4
- 红花: 366
- 帖子: 7594
- 在线: 2164.4小时
- 虫号: 1865159
- 注册: 2012-06-20
- 性别: GG
- 专业: 电化学
【答案】应助回帖
感谢参与,应助指数 +1
|
去看看这几篇文献,看看有没有你需要的东西 1.redox characteristics of quinones in natural organic matter http://www.ibp.ethz.ch/research/ ... el_termpaper_ms.pdf 2. Electrochemical Reduction of Quinones in Different Media: A Review http://www.hindawi.com/journals/ijelc/2011/816202/ 3. Benzoquinone-Hydroquinone Couple for Flow Battery http://aziz.seas.harvard.edu/fil ... a233-manuscript.pdf 4. A Simple and Robust Model for Predicting the Reduction Potential of Quinones Family; Electrophilicity Index Effect http://www.electrochemsci.org/papers/vol7/7054811.pdf |

3楼2015-04-16 20:33:06













回复此楼
没有人回复~自顶一下~不要沉了啊~