| 查看: 1415 | 回复: 1 | ||
[求助]
小白求解洛伦兹模型的实部虚部 已有1人参与
|
|
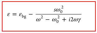
各位大神,我刚刚接触FDTD计算模拟。 现在希望模拟一个小分子材料,但是需要首先通过洛伦兹模型得到小分子的介电方程(如下图)。 但是却不知道该模型的实部和虚部分别怎么得到呢?就是说怎么转成ε(ω)=ε(ω)+i*ε'(ω) 有没有高手帮下忙呀? 1.jpg |
» 猜你喜欢
光学工程学硕调剂信息
已经有32人回复
欢迎加入课题组
已经有0人回复
物理学I论文润色/翻译怎么收费?
已经有192人回复
散金币,求好运,祝面上顺利!
已经有79人回复
华东师范大学芯片设计徐珑真实水平咋样
已经有1人回复
调剂
已经有0人回复
【新加坡】纳米电子器件项目组有“联合培养博士生”名额
已经有0人回复
中德博士后2026项目5月30日截止- 国内博士后入站、德国两年全职
已经有0人回复
面向全球申请人的中德博士后2026项目5月30日截止- 国内博后入站德国两年全职
已经有0人回复
【新加坡】纳米电子器件项目组有“联合培养博士生”名额
已经有2人回复
重庆交大材料学院26年硕士招生复试实施细则已出。欢迎加入光子学微结构与器件课题组。
已经有0人回复
» 本主题相关商家推荐: (我也要在这里推广)
2楼2015-04-28 03:31:41













回复此楼
