| 查看: 421 | 回复: 2 | ||
[求助]
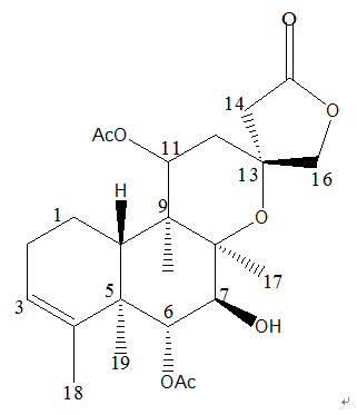
结构查新
|
||
|
|
||
seuseasoar至尊木虫 (知名作家)
|
【答案】应助回帖
★ ★ ★ ★ ★ ★ ★ ★ ★ ★ ★ ★ ★ ★ ★ ★ ★ ★ ★ ★
感谢参与,应助指数 +1 taracao: 金币+20, ★★★★★最佳答案, 谢谢 2015-04-07 08:39:31
|
|
![]() |
||
|
2楼2015-04-06 19:23:41
|
|
|
seuseasoar至尊木虫 (知名作家)
|
|
|
![]() |
||
|
3楼2015-04-06 19:25:46
|
|













回复此楼
