| 查看: 414 | 回复: 0 | ||
zcj522225新虫 (初入文坛)
|
[求助]
Aspen物性估算问题 能不能识别分子的结构异构和立体异构?
|
|
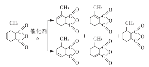
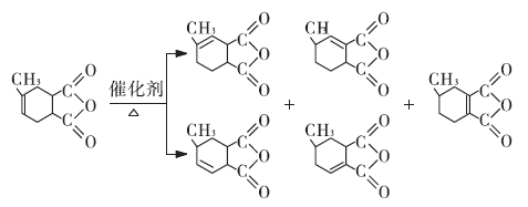
本人需要模拟甲基四氢苯酐固化剂的生产流程,甲基四氢苯酐产品是好多种异构体的混合物,Aspen数据库里没有这些物质,如果我画好结构式再用物性估算Aspen能够识别不同的异构体吗?各异构体如图 3结构.png 3立体.png 4结构.png 4立体.png |
» 猜你喜欢
职称评审没过,求安慰
已经有41人回复
回收溶剂求助
已经有7人回复
硝基苯如何除去
已经有3人回复
A期刊撤稿
已经有4人回复
垃圾破二本职称评审标准
已经有17人回复
投稿Elsevier的Neoplasia杂志,到最后选publishing options时页面空白,不能完成投稿
已经有22人回复
EST投稿状态问题
已经有7人回复
毕业后当辅导员了,天天各种学生超烦
已经有4人回复
求助文献
已经有3人回复
三无产品还有机会吗
已经有6人回复
» 本主题相关商家推荐: (我也要在这里推广)
找到一些相关的精华帖子,希望有用哦~
CAS号不同的两种物质结构式没什么区别,应该是同一种物质啊
已经有7人回复
2014年度浙江省自然科学基金拟资助项目清单
已经有14人回复
【转帖】一些计算化学相关的免费的在线数据库、分子结构库及工具
已经有109人回复
科研从小木虫开始,人人为我,我为人人













回复此楼

点击这里搜索更多相关资源