| ²é¿´: 333 | »Ø¸´: 0 | ||
david6307Òø³æ (СÓÐÃûÆø)
|
[ÇóÖú]
pythonÓïÑÔ
|
|
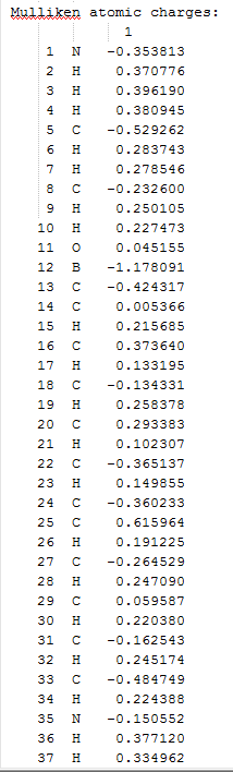
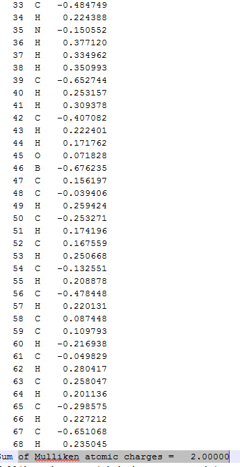
ÓÐûÓÐÒ»ÖÖ·½·¨¿ÉÒÔÈ¡³öÏÂͼÖÐMulliken atomic charge£ººÍSum of Mulliken atomic charges = 2.00000Ö®¼äµÄÄÚÈÝ£¿ Screen Capture.png Сľ³æÂÛ̳ - ѧÊõ¿ÆÑеÚÒ»Õ¾1.png |
» ²ÂÄãϲ»¶
×Ü·Ö293Çóµ÷¼Á
ÒѾÓÐ5È˻ظ´
335·Ö | ²ÄÁÏÓ뻯¹¤×¨Ë¶ | GPA 4.07 | ÓпÆÑоÀú
ÒѾÓÐ6È˻ظ´
289Çóµ÷¼Á
ÒѾÓÐ14È˻ظ´
085600 ²ÄÁÏÓ뻯¹¤ 329·ÖÇóµ÷¼Á
ÒѾÓÐ6È˻ظ´
»¯Ñ§¹¤³Ì085602 305·ÖÇóµ÷¼Á
ÒѾÓÐ9È˻ظ´
312Çóµ÷¼Á
ÒѾÓÐ7È˻ظ´
308Çóµ÷¼Á
ÒѾÓÐ5È˻ظ´
292Çóµ÷¼Á
ÒѾÓÐ7È˻ظ´
309Çóµ÷¼Á
ÒѾÓÐ4È˻ظ´
08¹¤Ñ§µ÷¼Á
ÒѾÓÐ18È˻ظ´













»Ø¸´´ËÂ¥
6