| 查看: 301 | 回复: 0 | ||
[求助]
直管流控制方程求解
|
|
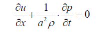
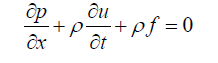
最近在研究直管流问题时遇到了由动量方程和连续方程组成的一组偏微分方程,虽然是最基本的控制方程形式,但由于我不是流体专业,一直没有头绪,很头痛,有没有大神有这种形式的偏微分方程组的c语言代码,最好是用特征线法和Lax-Wendroff方法求解,或者相关资料,多谢指导,不胜感激。 $EJ)AP9OKQJ(3SPBX7E{VSR.png 3Y{07OR]D3%[R6SX2~Q%U9B.png |
» 猜你喜欢
请问哪里可以有青B申请的本子可以借鉴一下。
已经有3人回复
真诚求助:手里的省社科项目结项要求主持人一篇中文核心,有什么渠道能发核心吗
已经有3人回复
孩子确诊有中度注意力缺陷
已经有14人回复
三甲基碘化亚砜的氧化反应
已经有4人回复
请问下大家为什么这个铃木偶联几乎不反应呢
已经有5人回复
请问有评职称,把科研教学业绩算分排序的高校吗
已经有5人回复
2025冷门绝学什么时候出结果
已经有3人回复
天津工业大学郑柳春团队欢迎化学化工、高分子化学或有机合成方向的博士生和硕士生加入
已经有4人回复
康复大学泰山学者周祺惠团队招收博士研究生
已经有6人回复
AI论文写作工具:是科研加速器还是学术作弊器?
已经有3人回复













回复此楼