| ²é¿´: 698 | »Ø¸´: 4 | ||||
Xiuciusгæ (³õÈëÎÄ̳)
|
[ÇóÖú]
¸Õѧ»ý·Ö£¬ÓеÀ׿ÀïÆæÉϵÄÌâ²»»á£¬Çó½â ÒÑÓÐ2È˲ÎÓë
|
|
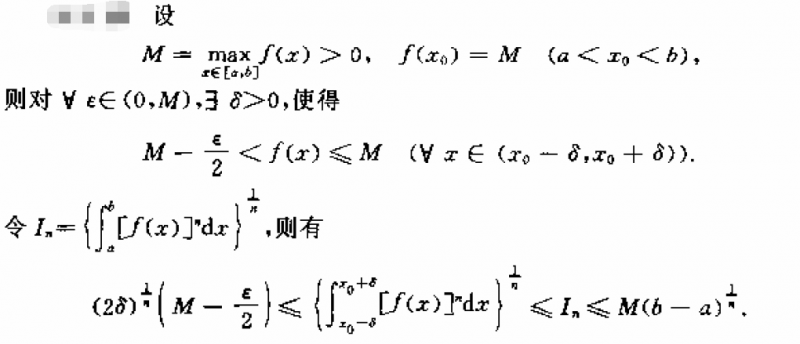
¸Õѧµ½»ý·ÖµÄµÚ¶þÖÐÖµ¶¨Àí£¬²»ÒªÓÃûÓÐѧµÃ֪ʶ£¬Ð»Ð»¡« Ö¤Ã÷£ºÈç¹ûfÔÚ[a,b]ÉÏÁ¬Ðø£¬f(x)>=0ÔÚ[a,b]ÉϳÉÁ¢£¬M=f(x)ÔÚ[a,b]ÉÏ×î´óÖµ£¬Ôò¡¾f(x)µÄn´Î·½ÔÚ[a,b]ÉϵĻý·Ö¡¿µÄ1/n´Î·½£¬ÔÚnÇ÷ÓÚÕýÎÞÇî´óʱµÈÓÚM ¹ý³Ì¿ÉÒÔÏêϸһµãÂð£¬Ð»Ð»¸÷λ£¡ [ ·¢×ÔÊÖ»ú°æ http://muchong.com/3g ] |
» ²ÂÄãϲ»¶
268Çóµ÷¼Á
ÒѾÓÐ7È˻ظ´
Ò»Ö¾Ô¸ÖØÇì´óѧ085700×ÊÔ´Óë»·¾³×Ü·Ö308Çóµ÷¼Á
ÒѾÓÐ4È˻ظ´
302Çóµ÷¼Á
ÒѾÓÐ11È˻ظ´
306Çóµ÷¼Á
ÒѾÓÐ4È˻ظ´
²ÄÁÏѧѧ˶080502 337Çóµ÷¼Á-Ò»Ö¾Ô¸»ªÖпƼ¼´óѧ
ÒѾÓÐ4È˻ظ´
Çóµ÷¼Á
ÒѾÓÐ6È˻ظ´
313Çóµ÷¼Á
ÒѾÓÐ3È˻ظ´
Äϲý´óѧ²ÄÁÏר˶311·ÖÇóµ÷¼Á
ÒѾÓÐ6È˻ظ´
316Çóµ÷¼Á
ÒѾÓÐ6È˻ظ´
346Çóµ÷¼Á[0856]
ÒѾÓÐ7È˻ظ´
» ±¾Ö÷ÌâÏà¹Ø¼ÛÖµÌùÍÆ¼ö£¬¶ÔÄúͬÑùÓаïÖú:
Êýѧ·ÖÎö ׿ÀïÆæ
ÒѾÓÐ7È˻ظ´
ÖÕ̫֮µ¶¡ªÏþ
Ìú¸Ëľ³æ (ÖøÃûдÊÖ)
Êýѧ°®ºÃÕß
- ÊýѧEPI: 7
- Ó¦Öú: 282 (´óѧÉú)
- ¹ó±ö: 0.018
- ½ð±Ò: 2934.2
- É¢½ð: 5589
- ºì»¨: 53
- Ìû×Ó: 1809
- ÔÚÏß: 401.6Сʱ
- ³æºÅ: 3469007
- ×¢²á: 2014-10-12
- ÐÔ±ð: MM
- רҵ: ƫ΢·Ö·½³Ì
¡¾´ð°¸¡¿Ó¦Öú»ØÌû
¡ï ¡ï ¡ï ¡ï ¡ï ¡ï ¡ï ¡ï ¡ï ¡ï ¡ï ¡ï ¡ï ¡ï ¡ï ¡ï ¡ï ¡ï ¡ï ¡ï
¸Ðл²ÎÓ룬ӦÖúÖ¸Êý +1
Xiucius: ½ð±Ò+20, ¡ï¡ï¡ï¡ï¡ï×î¼Ñ´ð°¸ 2015-03-26 10:43:12
¸Ðл²ÎÓ룬ӦÖúÖ¸Êý +1
Xiucius: ½ð±Ò+20, ¡ï¡ï¡ï¡ï¡ï×î¼Ñ´ð°¸ 2015-03-26 10:43:12

2Â¥2015-03-25 22:37:04
hylpy
ר¼Ò¹ËÎÊ (ÖªÃû×÷¼Ò)
††ÂïÄØ°Èßä…Ë
-

ר¼Ò¾Ñé: +2500 - ÊýѧEPI: 7
- Ó¦Öú: 381 (˶ʿ)
- ¹ó±ö: 0.167
- ½ð±Ò: 51126.2
- É¢½ð: 5568
- ºì»¨: 410
- Ìû×Ó: 5093
- ÔÚÏß: 1102.4Сʱ
- ³æºÅ: 3247778
- ×¢²á: 2014-06-01
- ÐÔ±ð: GG
- רҵ: º¯ÊýÂÛ
- ¹ÜϽ: Êýѧ
¡¾´ð°¸¡¿Ó¦Öú»ØÌû
¸Ðл²ÎÓ룬ӦÖúÖ¸Êý +1
| ¸Õ²ÅÒ²ÔÚÏëÕâµÀÌ⣬´óµ¶µÄ½â·¨£¬Ëƺõ¸úµÚ¶þÖÐÖµ¶¨ÀíûÓжà´ó¹ØÏµ¡£µÚ¶þ¡¢µÚÈý²½Ö¤Ã÷Ï൱ÇÉÃµãÔÞÒ»¸ö |

3Â¥2015-03-25 22:49:32
ÖÕ̫֮µ¶¡ªÏþ
Ìú¸Ëľ³æ (ÖøÃûдÊÖ)
Êýѧ°®ºÃÕß
- ÊýѧEPI: 7
- Ó¦Öú: 282 (´óѧÉú)
- ¹ó±ö: 0.018
- ½ð±Ò: 2934.2
- É¢½ð: 5589
- ºì»¨: 53
- Ìû×Ó: 1809
- ÔÚÏß: 401.6Сʱ
- ³æºÅ: 3469007
- ×¢²á: 2014-10-12
- ÐÔ±ð: MM
- רҵ: ƫ΢·Ö·½³Ì
¡¾´ð°¸¡¿Ó¦Öú»ØÌû
|
ȷʵûÓõ½»ý·ÖµÚ¶þÖÐÖµ¶¨Àí¡£ Èç¹û¿¼ÂÇÀëÉ¢ÐÎʽµÄÇéÐΣ¬Õâ¾ÍÏ൱ÓÚÏòÁ¿ÐòÁÐ{x_1,x_2,¡¡,x_n}µÄ¡Þ-·¶Êý¡£ ´ÓÀëÉ¢ÐÎʽµÄÖ¤Ã÷¹ý³ÌµÃ³öÆô·¢¶øÀ´µÄ¡£ |

4Â¥2015-03-26 00:45:45
5Â¥2015-03-26 22:00:47













»Ø¸´´ËÂ¥
10