| 查看: 2704 | 回复: 6 | ||
高朋满座007铁杆木虫 (正式写手)
|
[求助]
VASP能带计算后的EIGENVAL文件中本征能量数目太多该如何进行数据处理? 已有1人参与
|
|
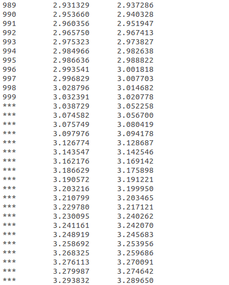
求助各位老师和同学: VASP能带计算后的EIGENVAL文件每个K点的能量个数超过了1000个,1000以后的标号全为***,以至于能带数据提取不出来,这种情况大家有什么办法没?希望得到大家的帮助。 截图.png |
» 猜你喜欢
08工学调剂
已经有5人回复
281求调剂(0805)
已经有25人回复
085600材料与化工
已经有6人回复
265求调剂
已经有8人回复
0817 化学工程 299分求调剂 有科研经历 有二区文章
已经有21人回复
295材料求调剂,一志愿武汉理工085601专硕
已经有4人回复
0856调剂,是学校就去
已经有9人回复
298-一志愿中国农业大学-求调剂
已经有9人回复
求调剂
已经有4人回复
学校已经提交到NSFC,还能修改吗?
已经有7人回复
» 本主题相关价值贴推荐,对您同样有帮助:
VASP 中离子的能量如何计算
已经有12人回复
能带计算的问题
已经有5人回复
如何从EIGENVAL文件中读取带隙,求教
已经有8人回复
vasp 计算 partial charge 时k点选取的问题
已经有19人回复
求助VASP能带计算的中断原因
已经有6人回复
VASP计算得到的OUTCAR为什么没有给出费米能级?
已经有13人回复
HSE能带数据在origin中处理的具体步骤
已经有14人回复
vasp计算单个氧原子和分子的能量
已经有20人回复
VASP计算H原子的能量的一点困惑
已经有5人回复
【求助完毕】VASP5.2费米能级
已经有10人回复
【求助】Hse06计算时KPOINTS出错
已经有30人回复
【求助】Vasp计算能带结构,高对称点如何在origin中表示
已经有17人回复
【求助】请教vasp如何使本征值按每条能带输出
已经有18人回复
【求助】如何使用VASP画费米面。
已经有13人回复
【转帖】用VASP计算氢分子的能量
已经有8人回复
liqizuiyang
木虫 (著名写手)
- 应助: 59 (初中生)
- 金币: 6859.5
- 散金: 261
- 红花: 94
- 帖子: 2093
- 在线: 708.9小时
- 虫号: 2366686
- 注册: 2013-03-21
- 性别: GG
- 专业: 凝聚态物性 II :电子结构
2楼2015-03-21 12:06:14
高朋满座007
铁杆木虫 (正式写手)
- 应助: 2 (幼儿园)
- 金币: 7209.3
- 帖子: 324
- 在线: 386.4小时
- 虫号: 1880655
- 注册: 2012-07-05
- 专业: 凝聚态物性 II :电子结构
3楼2015-03-21 13:44:03
skydark
木虫 (正式写手)
- 1ST强帖: 1
- 应助: 44 (小学生)
- 金币: 3652.2
- 散金: 30
- 红花: 6
- 帖子: 302
- 在线: 249.8小时
- 虫号: 1927082
- 注册: 2012-08-06
- 性别: GG
- 专业: 凝聚态物性 II :电子结构
4楼2015-03-21 15:53:24
liqizuiyang
木虫 (著名写手)
- 应助: 59 (初中生)
- 金币: 6859.5
- 散金: 261
- 红花: 94
- 帖子: 2093
- 在线: 708.9小时
- 虫号: 2366686
- 注册: 2013-03-21
- 性别: GG
- 专业: 凝聚态物性 II :电子结构
5楼2015-03-21 20:31:07
liqizuiyang
木虫 (著名写手)
- 应助: 59 (初中生)
- 金币: 6859.5
- 散金: 261
- 红花: 94
- 帖子: 2093
- 在线: 708.9小时
- 虫号: 2366686
- 注册: 2013-03-21
- 性别: GG
- 专业: 凝聚态物性 II :电子结构
6楼2015-03-21 20:33:57
7楼2018-01-15 15:39:08













回复此楼