| 查看: 502 | 回复: 1 | ||
恒星尚紫嫣木虫 (正式写手)
|
[求助]
塑料 DMA多频测试 求助,望各位大神指点
|
|
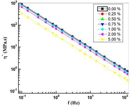
用DMA测试塑料的流变性能,需要在多频条件下测试,但是不知道需要在恒温还是等温条件下才能得到这样的曲线,希望大神指点,如果能说明测试步骤就更好啦,还有就是复数粘度是怎么测量得到的,DMA中好像没有这个信号,大谢!! 图片1.jpg 图片2.jpg |
» 猜你喜欢
5年内!药企无法掌握对元素杂质工艺将面临淘汰(2025药典0861、0862新规)
已经有0人回复
从爆炸废墟到安全防线:钽材料将改写化工反应釜的命运
已经有0人回复
无机非金属材料论文润色/翻译怎么收费?
已经有193人回复
天津高校航空材料先进制造技术与装备课题组拟接收调剂硕士研究生5-6名。
已经有0人回复
294 英二数二物化 求调剂
已经有6人回复
罕见病药小批量生产,高腐蚀工况下钽衬里是否最优解?
已经有0人回复
材料模拟计算
已经有0人回复
找金属材料类期刊
已经有2人回复
求调剂
已经有3人回复
西华大学材料学院表面科学与工程技术科研团队2026年招收研究生
已经有0人回复
» 本主题相关价值贴推荐,对您同样有帮助:
【求助】塑料做DMA测试,怎么制样啊?
已经有11人回复
【交流】DMA测试,塑料样品制备
已经有11人回复
恒星尚紫嫣
木虫 (正式写手)
- 应助: 1 (幼儿园)
- 金币: 3319.3
- 散金: 22
- 红花: 5
- 帖子: 621
- 在线: 133.9小时
- 虫号: 1415592
- 注册: 2011-09-24
- 专业: 其他无机非金属材料
2楼2015-03-19 11:02:38













回复此楼