| 查看: 730 | 回复: 6 | ||
zhixuanqing银虫 (小有名气)
|
[求助]
利用两层地温时间序列拟合土壤的热扩散系数
|
|
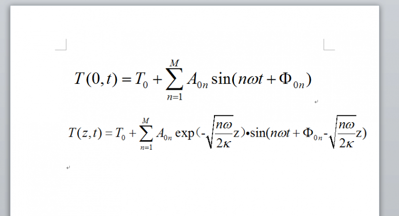
假设土壤表面的温度(深度为0)可以谐波形式表示成第一个公式(见图片,下同),则地表以下土壤温度可以用公式二表示 现有某一日两层(5cm和10cm)的土壤温度时间序列(五分钟一个,供288,见附件excel),想通过此谐波(二阶应该就够了)方法求出热扩散系数(公式里的κ) 时间略紧,因此想向大家征求个解法程序(最好是matlab),在此拜谢! 公式.png |
» 本帖附件资源列表
-
欢迎监督和反馈:小木虫仅提供交流平台,不对该内容负责。
本内容由用户自主发布,如果其内容涉及到知识产权问题,其责任在于用户本人,如对版权有异议,请联系邮箱:xiaomuchong@tal.com - 附件 1 : temp.xlsx
2015-03-15 10:32:58, 15.56 K
» 猜你喜欢
080500求调剂
已经有5人回复
269电子信息求调剂,可转专业
已经有5人回复
285求调剂
已经有15人回复
265求调剂
已经有8人回复
274求调剂求调剂
已经有5人回复
284求调剂
已经有4人回复
土木水利专硕276分求调剂
已经有4人回复
材料考研求调剂总分280
已经有9人回复
285求调剂
已经有6人回复
材料调剂
已经有9人回复

wolfghost
版主 (知名作家)
- 博学EPI: 432
- 应助: 101 (高中生)
- 贵宾: 7.987
- 金币: 36647.2
- 散金: 11283
- 红花: 198
- 沙发: 8
- 帖子: 7791
- 在线: 1298小时
- 虫号: 573180
- 注册: 2008-06-13
- 性别: GG
- 专业: 电化学
- 管辖: 有奖问答

2楼2015-04-14 07:56:07
zhixuanqing
银虫 (小有名气)
- 应助: 0 (幼儿园)
- 金币: 500.8
- 散金: 20
- 红花: 1
- 帖子: 135
- 在线: 628.5小时
- 虫号: 2097059
- 注册: 2012-10-31
- 性别: GG
- 专业: 半导体科学与信息器件

3楼2015-04-14 15:56:31
zhixuanqing
银虫 (小有名气)
- 应助: 0 (幼儿园)
- 金币: 500.8
- 散金: 20
- 红花: 1
- 帖子: 135
- 在线: 628.5小时
- 虫号: 2097059
- 注册: 2012-10-31
- 性别: GG
- 专业: 半导体科学与信息器件

4楼2015-04-14 15:57:46
zhixuanqing
银虫 (小有名气)
- 应助: 0 (幼儿园)
- 金币: 500.8
- 散金: 20
- 红花: 1
- 帖子: 135
- 在线: 628.5小时
- 虫号: 2097059
- 注册: 2012-10-31
- 性别: GG
- 专业: 半导体科学与信息器件

5楼2015-04-14 15:58:01
zhixuanqing
银虫 (小有名气)
- 应助: 0 (幼儿园)
- 金币: 500.8
- 散金: 20
- 红花: 1
- 帖子: 135
- 在线: 628.5小时
- 虫号: 2097059
- 注册: 2012-10-31
- 性别: GG
- 专业: 半导体科学与信息器件

6楼2015-04-14 15:58:37
wolfghost
版主 (知名作家)
- 博学EPI: 432
- 应助: 101 (高中生)
- 贵宾: 7.987
- 金币: 36647.2
- 散金: 11283
- 红花: 198
- 沙发: 8
- 帖子: 7791
- 在线: 1298小时
- 虫号: 573180
- 注册: 2008-06-13
- 性别: GG
- 专业: 电化学
- 管辖: 有奖问答

7楼2015-04-14 17:53:45














回复此楼
10