版块导航
正在加载中...
客户端APP下载
论文辅导
申博辅导
登录
注册
帖子
帖子
用户
本版
应《网络安全法》要求,自2017年10月1日起,未进行实名认证将不得使用互联网跟帖服务。为保障您的帐号能够正常使用,请尽快对帐号进行手机号验证,感谢您的理解与支持!
24小时热门版块排行榜
>
论坛更新日志
(2725)
>
虫友互识
(307)
>
文献求助
(146)
>
硕博家园
(128)
>
导师招生
(98)
>
论文投稿
(74)
>
休闲灌水
(68)
>
考博
(53)
>
招聘信息布告栏
(50)
>
基金申请
(49)
>
教师之家
(49)
>
博后之家
(34)
>
金融投资
(34)
>
找工作
(29)
>
考研
(29)
>
论文道贺祈福
(24)
小木虫论坛-学术科研互动平台
»
化学化工区
»
分析
»
化学分析
»
求助一个化合物(表羽扇豆酸乙酸酯)的结构式
2
1/1
返回列表
查看: 453 | 回复: 1
只看楼主
@他人
存档
新回复提醒
(忽略)
收藏
在APP中查看
牡丹高枫
新虫
(初入文坛)
应助: 0
(幼儿园)
金币: 283.5
帖子: 36
在线: 4.8小时
虫号: 3601628
注册: 2014-12-18
专业: 色谱分析
[
求助
]
求助一个化合物(表羽扇豆酸乙酸酯)的结构式
已有1人参与
表羽扇豆酸乙酸酯
回复此楼
» 猜你喜欢
拟解决的关键科学问题还要不要写
已经有8人回复
存款400万可以在学校里躺平吗
已经有30人回复
最失望的一年
已经有12人回复
求推荐英文EI期刊
已经有5人回复
请教限项目规定
已经有4人回复
国自然申请面上模板最新2026版出了吗?
已经有20人回复
26申博
已经有3人回复
基金委咋了?2026年的指南还没有出来?
已经有10人回复
基金申报
已经有6人回复
疑惑?
已经有5人回复
» 本主题相关价值贴推荐,对您同样有帮助:
求助一个化合物的合成?
已经有3人回复
在word里怎么画有机物的结构式啊~~
已经有28人回复
【求助】 怎样确定一个化合物是否是新化合物
已经有7人回复
知道一个中间体的结构式,如何查到该化合物的CAS号?
已经有3人回复
有机物英文名称求结构式
已经有7人回复
求高手,已知化合物结构式,怎么查询名字等相关信息
已经有4人回复
知道化合物名称怎么查化合物的结构式?
已经有8人回复
一个化合物可以有两个CAS号么
已经有11人回复
求助mPEG-DSPE的结构式
已经有5人回复
求助:怎么根据中文名称或英文名称 写出 化合物的分子式呢?
已经有16人回复
两个化合物结构式相同,有多个手性碳,只有一个手性碳不同,叫什么异构?
已经有18人回复
怎么确定有机物的结构式
已经有6人回复
底物结构式的分析
已经有3人回复
求助一个化学物品的中文名称
已经有8人回复
【求助】槲皮素和橡黄素是同一个化合物吧!看结构式是一样的啊!是构型差异吗?
已经有6人回复
【求助】各位好,请我看一个简单化合物的HNMR谱图。
已经有20人回复
【求助】从一个药品的代号怎么查找该化合物的化学结构?
已经有13人回复
【交流】F127的结构式是什么
已经有9人回复
【求助】如何根据结构式找天然产物的类似结构
已经有17人回复
【求助】求一个画出化合物结构式来检索文献的网站
已经有20人回复
怎样画黄酮类化合物结构式
已经有20人回复
【求助】求助-解析HMBC 确定结构
已经有13人回复
【讨论】关于含氮化合物的结构式问题
已经有12人回复
1楼
2015-03-09 09:57:14
已阅
回复此楼
关注TA
给TA发消息
送TA红花
TA的回帖
klicking
至尊木虫
(著名写手)
ACI: 9
应助: 923
(博后)
贵宾: 0.652
金币: 19311.5
散金: 30
红花: 149
沙发: 1
帖子: 2337
在线: 513.3小时
虫号: 1426293
注册: 2011-10-03
性别: GG
专业: 药物分析
【答案】应助回帖
★ ★ ★ ★ ★
感谢参与,应助指数 +1
牡丹高枫: 金币+5,
★★★★★
最佳答案, O(∩_∩)O谢谢
2015-03-14 15:37:46
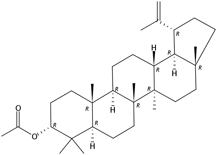
CAS号:6610-54-4
分子式:C32H52O2
化学名:Lup-20(29)-en-3-ol, acetate, (3α)- (9CI)
其它名称:Epilupeol acetate
结构式见附图
6610-54-4.png
赞
一下
(1人)
回复此楼
归零
2楼
2015-03-09 14:30:36
已阅
回复此楼
关注TA
给TA发消息
送TA红花
TA的回帖
相关版块跳转
有机交流
有机资源
高分子
无机/物化
分析
催化
工艺技术
化工设备
石油化工
精细化工
电化学
环境
SciFinder/Reaxys
我要订阅楼主
牡丹高枫
的主题更新
2
1/1
返回列表
如果回帖内容含有宣传信息,请如实选中。否则帐号将被全论坛禁言
普通表情
龙
兔
虎
猫
百度网盘
|
360云盘
|
千易网盘
|
华为网盘
在新窗口页面中打开自己喜欢的网盘网站,将文件上传后,然后将下载链接复制到帖子内容中就可以了。
信息提示
关闭
请填处理意见
关闭
确定