| 查看: 1065 | 回复: 1 | ||
hqf911213新虫 (小有名气)
|
[求助]
请问有谁测过气凝胶粉末的介电常数?求助 已有1人参与
|
|
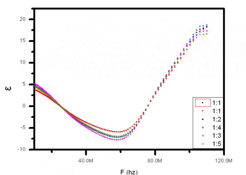
请问有谁使用过Agilent 4294A精密阻抗分析仪来测过粉末的介电常数, 首先我是将粉末与石蜡制成块体,然后使用Cp-D模式(介电)来测试,结果测试得到的电容量C有一部分是负值,做出来的频率-介电常数图,居然有介电常数值是负值! 想请教下哪位高手,给与指点下,是哪里出的问题。 频率-介电常数.png |
» 猜你喜欢
296求调剂
已经有7人回复
302求调剂
已经有4人回复
086000生物与医药292求调剂
已经有5人回复
北科281学硕材料求调剂
已经有14人回复
材料与化工 322求调剂
已经有5人回复
333求调剂
已经有11人回复
材料专硕 335 分求调剂
已经有3人回复
07化学303求调剂
已经有3人回复
289求调剂
已经有11人回复
网络空间安全0839招调剂
已经有5人回复

feijigong
铁杆木虫 (职业作家)
- 应助: 11 (小学生)
- 金币: 24577.8
- 散金: 200
- 红花: 38
- 帖子: 4373
- 在线: 524.1小时
- 虫号: 466706
- 注册: 2007-11-24
- 性别: GG
- 专业: 无机非金属基复合材料
2楼2015-03-15 22:15:31













回复此楼