| ²é¿´: 801 | »Ø¸´: 3 | ||
mjx150ÈÙÓþ°æÖ÷ (ÕýʽдÊÖ)
|
[ÇóÖú]
¹ÌÌåÎïÀí »ÆÀ¥°æ95Ò³ºÍ164Ò³¹«Ê½ÍƵ¼ÇóÖú ÒÑÓÐ1È˲ÎÓë
|
|
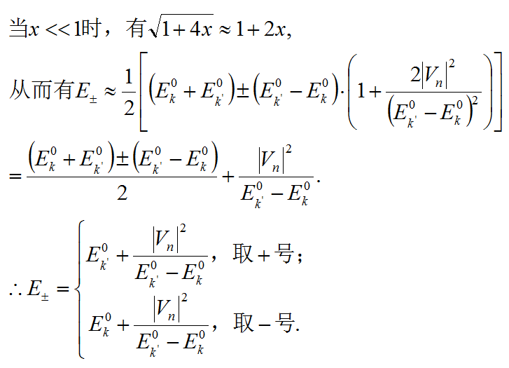
ÇëÎÊ95Ò³µÄ3-55ʽÖиùʽ¶Ôq^2Õ¹¿ª£¬ÊÇÈçºÎÕ¹¿ªµÄÄØ£¿ ÇëÎÊ164Ò³ÖеÄ4-33ʽ°´ÕÕ****Õ¹¿ª£¬ÓÖÊÇÈçºÎÕ¹¿ªµÄÄØ£¿ Çë¸÷λ´óÉñ´Í½Ì£¡ ![]() ![]() ![]() ![]() ![]() ![]() ![]() ![]() |
» ²ÂÄãϲ»¶
271²ÄÁϹ¤³ÌÇóµ÷¼Á
ÒѾÓÐ5È˻ظ´
281Çóµ÷¼Á£¨0805£©
ÒѾÓÐ16È˻ظ´
304Çóµ÷¼Á
ÒѾÓÐ6È˻ظ´
²ÄÁϹ¤³Ìר˶µ÷¼Á
ÒѾÓÐ6È˻ظ´
Ò»Ö¾Ô¸Ìì´ó²ÄÁÏÓ뻯¹¤£¨085600£©×Ü·Ö338
ÒѾÓÐ4È˻ظ´
085700×ÊÔ´Óë»·¾³308Çóµ÷¼Á
ÒѾÓÐ3È˻ظ´
Çó²ÄÁϵ÷¼Á
ÒѾÓÐ8È˻ظ´
294Çóµ÷¼Á²ÄÁÏÓ뻯¹¤×¨Ë¶
ÒѾÓÐ5È˻ظ´
Ò»Ö¾Ô¸»ªÖпƼ¼´óѧ£¬080502£¬354·ÖÇóµ÷¼Á
ÒѾÓÐ4È˻ظ´
Ò»Ö¾Ô¸¼ªÁÖ´óѧ²ÄÁÏѧ˶321Çóµ÷¼Á
ÒѾÓÐ6È˻ظ´
» ±¾Ö÷ÌâÏà¹Ø¼ÛÖµÌùÍÆ¼ö£¬¶ÔÄúͬÑùÓаïÖú:
Çó¹ÌÌåÎïÀíÖÐһά¾§¸ñƵÂÊwºÍqɫɢ¹ØÏµµÄÍÆµ¼¹«Ê½
ÒѾÓÐ8È˻ظ´
»ÆÀ¥¹ÌÌåÎïÀíÖйØÓÚ¹âÎüÊÕµÄÒÉ»ó
ÒѾÓÐ12È˻ظ´
¹ÌÌåÎïÀíѧ »ÆÀ¥
ÒѾÓÐ602È˻ظ´
»ÆÀ¥¹ÌÌåÎïÀíѧÖÐÒ»¾ä»°£¬²»¶®
ÒѾÓÐ12È˻ظ´
Çó¹ÌÌåÎïÀíÊÓÆµ
ÒѾÓÐ8È˻ظ´
ÇëÎÊËÄÇÀïÓбȽÏÈ«ÃæµÄ¹ØÓÚ»ÆÀ¥¹ÌÌåÎïÀíѧ1988ÄǰæÊéÖеĴíÎóµÄ×ܽá
ÒѾÓÐ3È˻ظ´
¡¾Ï°Ìâ×ÊÔ´¡¿»ÆÀ¥¹ÌÌåÎïÀíϰÌâ½â´ð
ÒѾÓÐ59È˻ظ´
¹ÌÌåÎïÀí¼°Æä¿Îºó´ð°¸ »ÆÀ¥°æ±¾
ÒѾÓÐ171È˻ظ´
¡¾¿Î¼þ¡¿¹ÌÌåÎïÀíѧ£¨»ÆÀ¥£©
ÒѾÓÐ356È˻ظ´
»ÆÀ¥ ÔÖø º«Èêçù¸Ä±à ¡¶¹ÌÌåÎïÀíѧ¡·Ï°Ìâ½â´ð word°æ
ÒѾÓÐ281È˻ظ´
ÖпÆÔº»ÆÀ¥¡¶¹ÌÌåÎïÀí¡·¿¼²©ÕæÌâºÍ·ÖÕÂϰÌâ½â´ð
ÒѾÓÐ32È˻ظ´
¹ØÓÚ¡¶¹ÌÌåÎïÀí¡·»ÆÀ¥
ÒѾÓÐ9È˻ظ´
¡¾ÇóÖú¡¿ÖпÆÔº°ëµ¼ÌåËùµÄÁ¿×ÓÁ¦Ñ§ºÍ¹ÌÌåÎïÀí
ÒѾÓÐ13È˻ظ´
¡¾ÇóÖú¡¿¡¶¹ÌÌåÎïÀí¡·3.1ÌâµÄ¶¯ÄÜΪɶÊÇ1/2kT
ÒѾÓÐ3È˻ظ´
¡¾ÇóÖú¡¿ÇëÎʳæ×ÓÃÇ£¬Äĸö°æ±¾µÄ¹ÌÌåÎïÀíѧ±È½ÏºÃ£¿
ÒѾÓÐ5È˻ظ´

ÖÕ̫֮µ¶¡ªÏþ
Ìú¸Ëľ³æ (ÖøÃûдÊÖ)
Êýѧ°®ºÃÕß
- Ó¦Öú: 282 (´óѧÉú)
- ¹ó±ö: 0.018
- ½ð±Ò: 2934.2
- É¢½ð: 5589
- ºì»¨: 53
- Ìû×Ó: 1809
- ÔÚÏß: 401.6Сʱ
- ³æºÅ: 3469007
- ×¢²á: 2014-10-12
- ÐÔ±ð: MM
- רҵ: ƫ΢·Ö·½³Ì
¡¾´ð°¸¡¿Ó¦Öú»ØÌû
¡ï ¡ï ¡ï ¡ï ¡ï ¡ï ¡ï ¡ï ¡ï ¡ï ¡ï ¡ï ¡ï ¡ï ¡ï ¡ï ¡ï ¡ï ¡ï ¡ï ¡ï ¡ï ¡ï ¡ï ¡ï ¡ï ¡ï ¡ï ¡ï ¡ï ¡ï ¡ï ¡ï ¡ï ¡ï ¡ï ¡ï ¡ï ¡ï ¡ï ¡ï ¡ï ¡ï ¡ï ¡ï ¡ï ¡ï ¡ï ¡ï ¡ï ¡ï ¡ï ...
¸Ðл²ÎÓ룬ӦÖúÖ¸Êý +1
mjx150: ½ð±Ò+100, ¡ï¡ï¡ï¡ï¡ï×î¼Ñ´ð°¸, ×î¼Ñ´ð°¸ 2015-02-20 00:21:39
¸Ðл²ÎÓ룬ӦÖúÖ¸Êý +1
mjx150: ½ð±Ò+100, ¡ï¡ï¡ï¡ï¡ï×î¼Ñ´ð°¸, ×î¼Ñ´ð°¸ 2015-02-20 00:21:39

2Â¥2015-02-19 20:58:16
ÖÕ̫֮µ¶¡ªÏþ
Ìú¸Ëľ³æ (ÖøÃûдÊÖ)
Êýѧ°®ºÃÕß
- Ó¦Öú: 282 (´óѧÉú)
- ¹ó±ö: 0.018
- ½ð±Ò: 2934.2
- É¢½ð: 5589
- ºì»¨: 53
- Ìû×Ó: 1809
- ÔÚÏß: 401.6Сʱ
- ³æºÅ: 3469007
- ×¢²á: 2014-10-12
- ÐÔ±ð: MM
- רҵ: ƫ΢·Ö·½³Ì

3Â¥2015-02-19 20:59:31
mjx150
ÈÙÓþ°æÖ÷ (ÕýʽдÊÖ)
- Ó¦Öú: 31 (СѧÉú)
- ¹ó±ö: 0.208
- ½ð±Ò: 9521.9
- É¢½ð: 1277
- ºì»¨: 15
- Ìû×Ó: 878
- ÔÚÏß: 651.1Сʱ
- ³æºÅ: 1248035
- ×¢²á: 2011-03-28
- ÐÔ±ð: GG
- רҵ: ½ðÊô¹¦ÄܲÄÁÏ
- ¹ÜϽ: ¹¦ÄܲÄÁÏ

4Â¥2015-02-20 00:24:36














»Ø¸´´ËÂ¥