| ²é¿´: 993 | »Ø¸´: 6 | |||
mjx150ÈÙÓþ°æÖ÷ (ÕýʽдÊÖ)
|
[ÇóÖú]
¹ÌÌåÎïÀí »ÆÀ¥°æ90Ò³¹«Ê½ÍƵ¼ÇóÖú ÒÑÓÐ1È˲ÎÓë
|
|
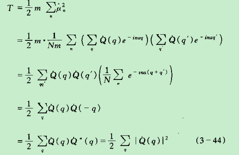
ÔÚ»ÆÀ¥°æ¹ÌÌåÎïÀíµÚ90Ò³£¬¹ØÓÚϵͳ¶¯ÄܺÍλÄܵļÆËãÊ½ÍÆµ¼ Õâ¸ö¼ÆËãÍÆµ¼Ê½ÖеÚÈýÐÐÖУº Èç¹ûÊǵÈÓÚ1£¬Õâ¸öÓÖ¾ßÌåÔõÃ´ÍÆµ¼ÄØ£¿ qºÍq'µ½µ×ÊÇʲô¹ØÏµÄØ Íû´óÉñ´Í½Ì |
» ÊÕ¼±¾ÌûµÄÌÔÌûר¼ÍƼö
Geonomy |
» ²ÂÄãϲ»¶
ÍÁľˮÀûר˶276·ÖÇóµ÷¼Á
ÒѾÓÐ5È˻ظ´
Ò»Ö¾Ô¸±±½»´ó²ÄÁϹ¤³Ì×Ü·Ö358Çóµ÷¼Á
ÒѾÓÐ11È˻ظ´
284Çóµ÷¼Á
ÒѾÓÐ6È˻ظ´
0703»¯Ñ§µ÷¼Á 348·Ö
ÒѾÓÐ4È˻ظ´
ÉúÎïѧÇóµ÷¼Á Ò»Ö¾Ô¸»¦9£¬326·Ö
ÒѾÓÐ4È˻ظ´
0703µ÷¼Á£¬Ò»Ö¾Ô¸Ìì½ò´óѧ319·Ö
ÒѾÓÐ16È˻ظ´
Ò»Ö¾Ô¸ÄϿƴóÉúÎïѧ297·Ö£¬Çóµ÷¼ÁÍÆ¼ö
ÒѾÓÐ5È˻ظ´
080500Çóµ÷¼Á
ÒѾÓÐ8È˻ظ´
ÉúÎïÓëÒ½Ò©Çóµ÷¼Á
ÒѾÓÐ8È˻ظ´
ÉúÎïѧ308·ÖÇóµ÷¼Á£¨Ò»Ö¾Ô¸»ª¶«Ê¦´ó£©
ÒѾÓÐ9È˻ظ´
» ±¾Ö÷ÌâÏà¹Ø¼ÛÖµÌùÍÆ¼ö£¬¶ÔÄúͬÑùÓаïÖú:
Çó¹ÌÌåÎïÀíÖÐһά¾§¸ñƵÂÊwºÍqɫɢ¹ØÏµµÄÍÆµ¼¹«Ê½
ÒѾÓÐ8È˻ظ´
»ÆÀ¥¹ÌÌåÎïÀíÖйØÓÚ¹âÎüÊÕµÄÒÉ»ó
ÒѾÓÐ12È˻ظ´
¹ÌÌåÎïÀíѧ »ÆÀ¥
ÒѾÓÐ602È˻ظ´
»ÆÀ¥¹ÌÌåÎïÀíѧÖÐÒ»¾ä»°£¬²»¶®
ÒѾÓÐ12È˻ظ´
ÇëÎÊËÄÇÀïÓбȽÏÈ«ÃæµÄ¹ØÓÚ»ÆÀ¥¹ÌÌåÎïÀíѧ1988ÄǰæÊéÖеĴíÎóµÄ×ܽá
ÒѾÓÐ3È˻ظ´
¹ÌÌåÎïÀí½Ì²Ä£¨Î¤µ¤£©
ÒѾÓÐ573È˻ظ´
¡¾Ï°Ìâ×ÊÔ´¡¿»ÆÀ¥¹ÌÌåÎïÀíϰÌâ½â´ð
ÒѾÓÐ59È˻ظ´
ÇëÎÊÓÐľÓÐdzÏÔÒ×¶®µÄ¡°¹ÌÌåÎïÀí¡±Ê飿
ÒѾÓÐ19È˻ظ´
¹ÌÌåÎïÀí¼°Æä¿Îºó´ð°¸ »ÆÀ¥°æ±¾
ÒѾÓÐ171È˻ظ´
¡¾¿Î¼þ¡¿¹ÌÌåÎïÀíѧ£¨»ÆÀ¥£©
ÒѾÓÐ356È˻ظ´
ÖпÆÔº»ÆÀ¥¡¶¹ÌÌåÎïÀí¡·¿¼²©ÕæÌâºÍ·ÖÕÂϰÌâ½â´ð
ÒѾÓÐ32È˻ظ´
ѧϰ¹ÌÌåÎïÀí֮ǰҪѧϰʲô»ù´¡¿Î³Ì
ÒѾÓÐ34È˻ظ´
¡¾ÇóÖú¡¿Çë½ÌÒ»¸ö¹ÌÌåÎïÀíµÄÎÊÌâ
ÒѾÓÐ15È˻ظ´
¹ØÓÚ¡¶¹ÌÌåÎïÀí¡·»ÆÀ¥
ÒѾÓÐ9È˻ظ´
¡¾½»Á÷¡¿»ÆÀ¥ÏÈÉú¡¶¹ÌÌåÎïÀí¡·Ìô´í
ÒѾÓÐ29È˻ظ´
¡¾ÇóÖú¡¿¸ù¾ÝÄÜ´ø½á¹¹¼ÆËãÔØÁ÷×ÓŨ¶È
ÒѾÓÐ9È˻ظ´

ÖÕ̫֮µ¶¡ªÏþ
Ìú¸Ëľ³æ (ÖøÃûдÊÖ)
Êýѧ°®ºÃÕß
- Ó¦Öú: 282 (´óѧÉú)
- ¹ó±ö: 0.018
- ½ð±Ò: 2934.2
- É¢½ð: 5589
- ºì»¨: 53
- Ìû×Ó: 1809
- ÔÚÏß: 401.6Сʱ
- ³æºÅ: 3469007
- ×¢²á: 2014-10-12
- ÐÔ±ð: MM
- רҵ: ƫ΢·Ö·½³Ì

2Â¥2015-02-16 13:39:09
mjx150
ÈÙÓþ°æÖ÷ (ÕýʽдÊÖ)
- Ó¦Öú: 31 (СѧÉú)
- ¹ó±ö: 0.208
- ½ð±Ò: 9543.9
- É¢½ð: 1277
- ºì»¨: 15
- Ìû×Ó: 878
- ÔÚÏß: 651.6Сʱ
- ³æºÅ: 1248035
- ×¢²á: 2011-03-28
- ÐÔ±ð: GG
- רҵ: ½ðÊô¹¦ÄܲÄÁÏ
- ¹ÜϽ: ¹¦ÄܲÄÁÏ

3Â¥2015-02-16 14:41:16
ÖÕ̫֮µ¶¡ªÏþ
Ìú¸Ëľ³æ (ÖøÃûдÊÖ)
Êýѧ°®ºÃÕß
- Ó¦Öú: 282 (´óѧÉú)
- ¹ó±ö: 0.018
- ½ð±Ò: 2934.2
- É¢½ð: 5589
- ºì»¨: 53
- Ìû×Ó: 1809
- ÔÚÏß: 401.6Сʱ
- ³æºÅ: 3469007
- ×¢²á: 2014-10-12
- ÐÔ±ð: MM
- רҵ: ƫ΢·Ö·½³Ì

4Â¥2015-02-17 00:10:25
ÖÕ̫֮µ¶¡ªÏþ
Ìú¸Ëľ³æ (ÖøÃûдÊÖ)
Êýѧ°®ºÃÕß
- Ó¦Öú: 282 (´óѧÉú)
- ¹ó±ö: 0.018
- ½ð±Ò: 2934.2
- É¢½ð: 5589
- ºì»¨: 53
- Ìû×Ó: 1809
- ÔÚÏß: 401.6Сʱ
- ³æºÅ: 3469007
- ×¢²á: 2014-10-12
- ÐÔ±ð: MM
- רҵ: ƫ΢·Ö·½³Ì

5Â¥2015-02-20 14:14:43
ÖÕ̫֮µ¶¡ªÏþ
Ìú¸Ëľ³æ (ÖøÃûдÊÖ)
6Â¥2015-02-21 19:44:02
mjx150
ÈÙÓþ°æÖ÷ (ÕýʽдÊÖ)
- Ó¦Öú: 31 (СѧÉú)
- ¹ó±ö: 0.208
- ½ð±Ò: 9543.9
- É¢½ð: 1277
- ºì»¨: 15
- Ìû×Ó: 878
- ÔÚÏß: 651.6Сʱ
- ³æºÅ: 1248035
- ×¢²á: 2011-03-28
- ÐÔ±ð: GG
- רҵ: ½ðÊô¹¦ÄܲÄÁÏ
- ¹ÜϽ: ¹¦ÄܲÄÁÏ

7Â¥2015-02-21 20:46:47














»Ø¸´´ËÂ¥