| ²é¿´: 1033 | »Ø¸´: 0 | ||
ÐÇÐǵÄС½ÅѾ½ð³æ (СÓÐÃûÆø)
|
[ÇóÖú]
¶þάº£É±¤Ä£ÐÍÄâºÏ
|
|
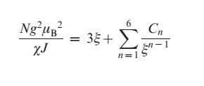
ÇóÖú¸÷룬¹ØÓÚ´Å»¯ÇúÏߵĶþάº£É±¤Ä£ÐÍÄâºÏ£¬OriginµÄÄâºÏ¹«Ê½ÄѵÀ¾ÍÊÇÒ»¸öÒ»¸öµØÕ¹¿ª³öÀ´Â𣿺ñ¿µÄ·½·¨£¬µ«ÊÇÊÔÁËÁ¬ÊýÁ¿¼¶¶¼¶Ô²»ÉÏ¡£¡£¡£¡£ÄÄλ¶®µÄ¸øÖ¸µ¼Ò»Ï£¬¹òл£¡ Untitled.png |
» ²ÂÄãϲ»¶
287Çóµ÷¼Á
ÒѾÓÐ5È˻ظ´
22408 344·Ö Çóµ÷¼Á Ò»Ö¾Ô¸ »ªµç¼ÆËã»ú¼¼Êõ
ÒѾÓÐ3È˻ظ´
289Çóµ÷¼Á
ÒѾÓÐ3È˻ظ´
317Çóµ÷¼Á
ÒѾÓÐ10È˻ظ´
¹ãÎ÷´óѧ¼ÒÇÝÒÅ´«ÓýÖÖ¿ÎÌâ×é2026Äê˶ʿÕÐÉú£¨½ÓÊÕ¼ÆËã»úרҵµ÷¼Á£©
ÒѾÓÐ3È˻ظ´
ѧУÒѾÌá½»µ½NSFC£¬»¹ÄÜÐÞ¸ÄÂð£¿
ÒѾÓÐ8È˻ظ´
08¹¤Ñ§µ÷¼Á
ÒѾÓÐ5È˻ظ´
281Çóµ÷¼Á£¨0805£©
ÒѾÓÐ25È˻ظ´
085600²ÄÁÏÓ뻯¹¤
ÒѾÓÐ6È˻ظ´
265Çóµ÷¼Á
ÒѾÓÐ8È˻ظ´
ÕÒµ½Ò»Ð©Ïà¹ØµÄ¾«»ªÌû×Ó£¬Ï£ÍûÓÐÓÃŶ~
×Ô¼ºÓÃFortran±àÁ˸öMC³ÌÐò£¬Ä£Äâ²ÄÁÏ´ÅÐÔËæÎ¶ȵı仯£¡
ÒѾÓÐ15È˻ظ´
¹ØÓÚ½»»»ÏµÊýJµÄ¼ÆËã
ÒѾÓÐ11È˻ظ´
¡¾ÇóÖú¡¿ÇëÎÊVASP¼ÆË㣬˳´ÅÐÔºÍÎÞ´ÅÐÔµÄÉèÖÃÓÐÊ²Ã´Çø±ð£¿
ÒѾÓÐ10È˻ظ´
¿ÆÑдÓСľ³æ¿ªÊ¼£¬ÈËÈËΪÎÒ£¬ÎÒΪÈËÈË













»Ø¸´´ËÂ¥
µã»÷ÕâÀïËÑË÷¸ü¶àÏà¹Ø×ÊÔ´
40