24小时热门版块排行榜    

北京石油化工学院2026年研究生招生接收调剂公告
查看: 240  |  回复: 0

小虫虫2012

金虫 (小有名气)

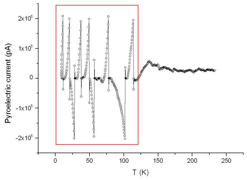
[求助] 6517A 热释电流

各位大神有没有用热释电流方法测薄膜材料的铁电性能的,最近我刚把台子搭起来,但是测出的信号低温下跳变非常厉害,请问是什么原因呢?

6517A 热释电流
Graph1.jpg
回复此楼

» 猜你喜欢

» 本主题相关商家推荐: (我也要在这里推广)

moresamples,morephysics
已阅   回复此楼   关注TA 给TA发消息 送TA红花 TA的回帖
相关版块跳转 我要订阅楼主 小虫虫2012 的主题更新
最具人气热帖推荐 [查看全部] 作者 回/看 最后发表
[考研] 0703本科郑州大学求调剂 +3 nhj_ 2026-03-25 3/150 2026-03-28 13:24 by Iveryant
[考研] 085405 考的11408求各位老师带走 +3 Qiu学ing 2026-03-28 3/150 2026-03-28 09:19 by 乐呵呵的追梦人
[考研] 311求调剂 +3 希望上岸阿小杨 2026-03-23 3/150 2026-03-28 07:57 by 热情沙漠
[考研] 材料与化工085600,总分304,本科有两篇sci参与,求调剂 +10 幸运的酱酱 2026-03-22 12/600 2026-03-27 16:08 by muchong357
[考研] 287求调剂 +10 land xuxu 2026-03-26 10/500 2026-03-27 15:33 by 帕尔马拉特
[考研] 考研化学308分求调剂 +10 你好明天你好 2026-03-23 12/600 2026-03-27 14:43 by shangxh
[考研] 085600,材料与化工321分,求调剂 +9 大馋小子 2026-03-27 9/450 2026-03-27 14:30 by mmm just
[考研] 333求调剂 +3 question挽风 2026-03-23 3/150 2026-03-27 11:29 by 不吃魚的貓
[考研] 考研调剂 +9 小蜡新笔 2026-03-26 9/450 2026-03-27 11:10 by 不吃魚的貓
[考研] 321求调剂 +6 wasdssaa 2026-03-26 6/300 2026-03-26 20:57 by sanrepian
[考研] 329求调剂 +5 1() 2026-03-22 5/250 2026-03-26 20:40 by fmesaito
[考研] 材料与化工304求B区调剂 +3 邱gl 2026-03-26 6/300 2026-03-26 18:03 by 邱gl
[考研] 297求调剂 +6 田洪有 2026-03-26 6/300 2026-03-26 15:55 by 不吃魚的貓
[考研] 一志愿 南京邮电大学 288分 材料考研 求调剂 +3 jl0720 2026-03-26 3/150 2026-03-26 13:39 by zzll406
[考研] 环境专硕324分求调剂推荐 +5 轩小宁—— 2026-03-26 5/250 2026-03-26 12:05 by i_cooler
[考研] 材料与化工304求B区调剂 +3 邱gl 2026-03-25 3/150 2026-03-25 19:03 by Ainin_
[考研] 284求调剂 +15 Zhao anqi 2026-03-22 15/750 2026-03-25 12:51 by wht0531
[考研] 318求调剂 +5 plum李子 2026-03-21 8/400 2026-03-25 09:26 by aa331100
[考研] 求调剂 +6 研研,接电话 2026-03-24 7/350 2026-03-24 17:01 by barlinike
[考研] 一志愿070300浙大化学358分,求调剂! +4 酥酥鱼.. 2026-03-21 4/200 2026-03-23 08:12 by Iveryant
信息提示
请填处理意见