| 查看: 308 | 回复: 0 | |
jiudushishu铁虫 (小有名气)
|
[求助]
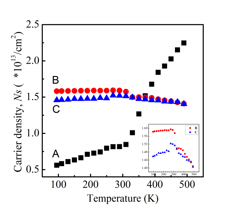
薄膜面密度随温度先增加后降低,怎么解释
|
![]() |
|
|
|
|
|
找到一些相关的精华帖子,希望有用哦~
科研从小木虫开始,人人为我,我为人人
|













回复此楼

点击这里搜索更多相关资源