| 查看: 1293 | 回复: 11 | ||
[求助]
表面结构加vdw计算表面能
|
|
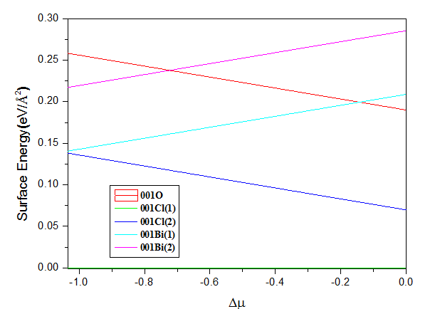
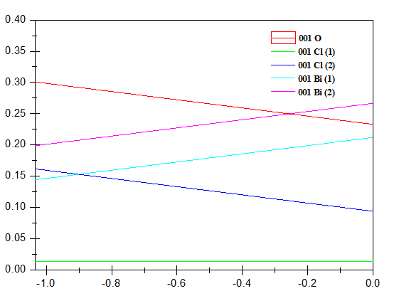
我用vdw计算了一种结构的不同暴露面的表面的表面能,但是用不同的vdw修正函数分别来计算,发现得到的结果相差很大,请高人出来指点,到底是什么原因,怎么解决。万分感激 DF2.png opt86.png opt88.png 无vdw.png |
» 猜你喜欢
英文综述是否需要润色及查重
已经有5人回复
救命帖
已经有5人回复
限项规定
已经有5人回复
为什么nbs上溴 没有产物点出现呢
已经有9人回复
招博士
已经有3人回复
存款400万可以在学校里躺平吗
已经有35人回复
最失望的一年
已经有18人回复
求推荐英文EI期刊
已经有5人回复
» 本主题相关价值贴推荐,对您同样有帮助:
求助:计算吸附能为正怎么办?
已经有16人回复
为何用晶格常数的实验值计算声子?
已经有18人回复
stractor
金虫 (著名写手)
- 1ST强帖: 6
- 应助: 91 (初中生)
- 金币: 1487.6
- 散金: 666
- 红花: 30
- 沙发: 1
- 帖子: 2224
- 在线: 426.8小时
- 虫号: 394087
- 注册: 2007-06-06
- 专业: 半导体材料
2楼2015-01-26 21:59:32
stractor
金虫 (著名写手)
- 1ST强帖: 6
- 应助: 91 (初中生)
- 金币: 1487.6
- 散金: 666
- 红花: 30
- 沙发: 1
- 帖子: 2224
- 在线: 426.8小时
- 虫号: 394087
- 注册: 2007-06-06
- 专业: 半导体材料
3楼2015-01-26 22:01:25
4楼2015-01-26 22:37:25
stractor
金虫 (著名写手)
- 1ST强帖: 6
- 应助: 91 (初中生)
- 金币: 1487.6
- 散金: 666
- 红花: 30
- 沙发: 1
- 帖子: 2224
- 在线: 426.8小时
- 虫号: 394087
- 注册: 2007-06-06
- 专业: 半导体材料
5楼2015-01-27 00:20:39
6楼2015-01-27 08:15:19
stractor
金虫 (著名写手)
- 1ST强帖: 6
- 应助: 91 (初中生)
- 金币: 1487.6
- 散金: 666
- 红花: 30
- 沙发: 1
- 帖子: 2224
- 在线: 426.8小时
- 虫号: 394087
- 注册: 2007-06-06
- 专业: 半导体材料
7楼2015-01-27 08:36:27
8楼2015-01-27 10:47:41
juemiaohaoti
金虫 (初入文坛)
- 应助: 0 (幼儿园)
- 金币: 633
- 帖子: 36
- 在线: 21.8小时
- 虫号: 2267558
- 注册: 2013-01-30
- 性别: GG
- 专业: 凝聚态物性 II :电子结构
|
http://dx.doi.org/10.1088/0953-8984/24/42/424217 这篇是讨论不同vdw对吸附Cu表面的影响的,不同vdw得到的最稳吸附结构都不一样,你可以参考一下 我算的一个体系就是加vdw,不同的vdw对结果影响挺大,还没找到能完美符合实验结果的vdw,感觉这方面计算还得进一步完善 |
9楼2015-01-27 13:02:06
10楼2015-01-27 17:42:38













回复此楼