| ²é¿´: 1722 | »Ø¸´: 18 | ||||
lxc_422гæ (СÓÐÃûÆø)
|
[ÇóÖú]
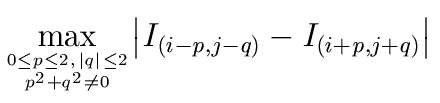
¹«Ê½µÄ¼ò»¯±íʾ ÒÑÓÐ2È˲ÎÓë
|
|||
![]() |
||||
|
|
||||
| »ØÌûÖ§³Ö ( ÏÔʾ֧³Ö¶È×î¸ßµÄǰ 50 Ãû ) | ||||
weftľ³æ (ÕýʽдÊÖ)
|
¡¾´ð°¸¡¿Ó¦Öú»ØÌû |
|||
|
8Â¥2015-01-23 03:15:58
|
|
|||
zaq123321ר¼Ò¹ËÎÊ (ÖøÃûдÊÖ)
|
¡¾´ð°¸¡¿Ó¦Öú»ØÌû
¸Ðл²ÎÓ룬ӦÖúÖ¸Êý +1
|
|||
![]() |
||||
|
9Â¥2015-01-23 07:36:33
|
|
|||
| ÆÕͨ»ØÌû | ||||
feixiaolinÈÙÓþ°æÖ÷ (ÎÄ̳¾«Ó¢)
|
||||
|
2Â¥2015-01-22 16:24:35
|
|
|||
lxc_422гæ (СÓÐÃûÆø)
|
||||
![]() |
||||
|
3Â¥2015-01-22 19:34:08
|
|
|||
lxc_422гæ (СÓÐÃûÆø)
|
||||
![]() |
||||
|
4Â¥2015-01-22 19:38:57
|
|
|||
feixiaolinÈÙÓþ°æÖ÷ (ÎÄ̳¾«Ó¢)
|
||||
|
5Â¥2015-01-22 19:39:39
|
|
|||
lxc_422гæ (СÓÐÃûÆø)
|
||||
![]() |
||||
|
6Â¥2015-01-22 19:42:00
|
|
|||
weftľ³æ (ÕýʽдÊÖ)
|
||||
|
7Â¥2015-01-23 02:44:26
|
|
|||
lxc_422гæ (СÓÐÃûÆø)
|
||||
![]() |
||||
|
10Â¥2015-01-23 08:39:24
|
|
|||













»Ø¸´´ËÂ¥
£©
