| ²é¿´: 1809 | »Ø¸´: 1 | ||
| ±¾Ìû²úÉú 1 ¸ö ²©Ñ§EPI £¬µã»÷ÕâÀï½øÐв鿴 | ||
wonaqianli½ð³æ (³õÈëÎÄ̳)
|
[ÇóÖú]
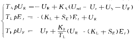
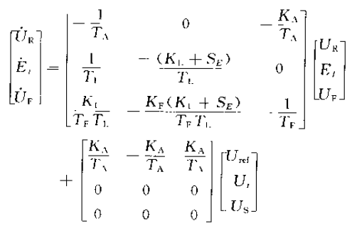
IEEE 10»ú39½ÚµãϵͳÀø´ÅÆ÷Ä£ÐÍÊÇʲô
|
|
|
IEEE 10»ú39½ÚµãϵͳÀø´ÅÆ÷Ä£ÐÍÊÇʲô£¿ https://www.docin.com/p-234092872.html Õâ¸öÍøÖ·ÊÇÊý¾Ý£¬ÏëÇëÎÊÒ»ÏÂÕâ¸öÊý¾ÝÖеÄÀø´ÅϵͳģÐ;ßÌåÊÇʲôģÐͰ¡£¿ ÓÐûÓÐÏà¹ØµÄÊéÓÐÄ£ÐͽéÉÜ¡£ ÎÒÐèҪģÐ͵Ĺ«Ê½ |
» ²ÂÄãϲ»¶
312Çóµ÷¼Á
ÒѾÓÐ15È˻ظ´
304Çóµ÷¼Á
ÒѾÓÐ7È˻ظ´
»¯¹¤Çóµ÷¼Á£¡
ÒѾÓÐ15È˻ظ´
284Çóµ÷¼Á
ÒѾÓÐ8È˻ظ´
362Çóµ÷¼Á
ÒѾÓÐ5È˻ظ´
Ò»Ö¾Ô¸¹þ¹¤´ó£¬³õÊÔ329£¬Çó»·¾³¿ÆÑ§Ó빤³Ìµ÷¼Á£¡
ÒѾÓÐ5È˻ظ´
327Çóµ÷¼Á
ÒѾÓÐ3È˻ظ´
Ò»Ö¾Ô¸¼ª´ó»¯Ñ§327Çóµ÷¼Á
ÒѾÓÐ5È˻ظ´
26×ÔÈ»µØÀíѧ303·ÖÇóµ÷¼Á
ÒѾÓÐ8È˻ظ´
336Çóµ÷¼Á£¬Ò»Ö¾Ô¸Öпƴó
ÒѾÓÐ4È˻ظ´
» ±¾Ö÷ÌâÏà¹Ø¼ÛÖµÌùÍÆ¼ö£¬¶ÔÄúͬÑùÓаïÖú:
¹ØÓÚѰÕÒIEEE-39½ÚµãϵͳµÄ֧·¹¦ÂÊÔ¼ÊøµÄÊý¾Ý
ÒѾÓÐ1È˻ظ´
¡¾2014-2-1¡¿2014ÉúÎïÐÅÏ¢Óëҽѧ¹¤³Ì¹ú¼Ê»áÒéÕ÷ÎÄ£¨EI/IEEE£©
ÒѾÓÐ74È˻ظ´
½üÊ®Äê»úе¹¤³Ìѧ¿ÆÖйúѧÕßSCI·¢ÎľÓǰ100λÆÚ¿¯
ÒѾÓÐ7È˻ظ´
Î÷°²µç×ӿƼ¼´óѧÇåµ¥
ÒѾÓÐ17È˻ظ´
½üÊ®Äê»úÆ÷ÈËѧ¿ÆÖйúѧÕßSCIÊ®´ó·¢ÎÄÆÚ¿¯
ÒѾÓÐ8È˻ظ´
¶ÔÐÂÄÜÔ´Èȳ±µÄ¡°À䡱˼¿¼
ÒѾÓÐ15È˻ظ´
»úÆ÷ÈËSCIÆÚ¿¯¼°ÆäÌØµã¡¢ÆÀ¼Û¡¢Í¶¸åÖ®ÎÒ¼û
ÒѾÓÐ116È˻ظ´
½üÊ®Äê»úе¹¤³Ìѧ¿ÆÃÀ¹úѧÕßSCI·¢ÎľÓǰ100λÆÚ¿¯
ÒѾÓÐ34È˻ظ´
ÔÚ¡¶Science¡·ÉÏ·¢ÎÄÕÂ
ÒѾÓÐ10È˻ظ´

Palabin
Ìú³æ (³õÈëÎÄ̳)
- ²©Ñ§EPI: 1
- Ó¦Öú: 0 (Ó×¶ùÔ°)
- ½ð±Ò: 29
- Ìû×Ó: 20
- ÔÚÏß: 6.4Сʱ
- ³æºÅ: 2378046
- ×¢²á: 2013-03-26
- ÐÔ±ð: GG
- רҵ: µçÁ¦ÏµÍ³
¡¾´ð°¸¡¿Ó¦Öú»ØÌû
¡ï ¡ï ¡ï ¡ï ¡ï ¡ï ¡ï ¡ï ¡ï ¡ï ¡ï ¡ï ¡ï ¡ï ¡ï ¡ï ¡ï ¡ï ¡ï ¡ï
wonaqianli: ½ð±Ò+20, ²©Ñ§EPI+1, ¡ïÓаïÖú 2015-03-21 09:03:16
wonaqianli: ½ð±Ò+20, ²©Ñ§EPI+1, ¡ïÓаïÖú 2015-03-21 09:03:16
» ±¾Ìû¸½¼þ×ÊÔ´Áбí
-
»¶Ó¼à¶½ºÍ·´À¡£ºÐ¡Ä¾³æ½öÌṩ½»Á÷ƽ̨£¬²»¶Ô¸ÃÄÚÈݸºÔð¡£
±¾ÄÚÈÝÓÉÓû§×ÔÖ÷·¢²¼£¬Èç¹ûÆäÄÚÈÝÉæ¼°µ½ÖªÊ¶²úȨÎÊÌ⣬ÆäÔðÈÎÔÚÓÚÓû§±¾ÈË£¬Èç¶Ô°æÈ¨ÓÐÒìÒ飬ÇëÁªÏµÓÊÏ䣺xiaomuchong@tal.com - ¸½¼þ 1 : ¶¯Ì¬µçÁ¦ÏµÍ³µÄÀíÂۺͷÖÎö.ÄßÒÔÐÅ.pdf
2015-02-03 19:20:49, 8.39 M
2Â¥2015-02-03 19:20:58














»Ø¸´´ËÂ¥