| ²é¿´: 615 | »Ø¸´: 0 | ||
wang703ľ³æ (СÓÐÃûÆø)
|
[ÇóÖú]
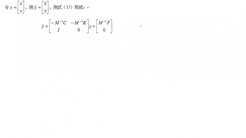
ODE45¼ÆËã¾ØÕóÒ»½×΢·Ö·½³Ì×飬ûÓнá¹ûÊä³ö ÊǾØÕóÌ«´óÁËÂð£¬78X78¾ØÕó
|
|
ʹÓÃODE45¼ÆËã¾ØÕóÒ»½×΢·Ö·½³Ì×飬ÔõôûÓз´Ó¦µÄ£¬Ã»Óнá¹ûÊä³ö £¬ÊǾØÕóÌ«´óÁËÂ𣿷½À¨ºÅÄÚλ78X78¾ØÕó ÎÞ±êÌâ.png |
» ²ÂÄãϲ»¶
±¾¿Æ211£¬293·ÖÇëÇóµ÷¼Á
ÒѾÓÐ4È˻ظ´
Çóµ÷¼Á
ÒѾÓÐ3È˻ظ´
085400µç×ÓÐÅÏ¢319Çóµ÷¼Á£¨½ÓÊÜ¿çרҵµ÷¼Á£©
ÒѾÓÐ5È˻ظ´
268Çóµ÷¼Á
ÒѾÓÐ9È˻ظ´
һ־Ը˫·Ç085502£¬267·Ö£¬¹ýËļ¶Çóµ÷¼Á
ÒѾÓÐ3È˻ظ´
Ò»Ö¾Ô¸085404£¬×Ü·Ö291£¬Ëļ¶Òѹý£¬Çóµ÷¼Á
ÒѾÓÐ4È˻ظ´
297Çóµ÷¼Á
ÒѾÓÐ12È˻ظ´
26µ÷¼Á 086003
ÒѾÓÐ3È˻ظ´
265Çóµ÷¼Á
ÒѾÓÐ20È˻ظ´
271·ÖÇóµ÷¼ÁѧУ
ÒѾÓÐ11È˻ظ´














»Ø¸´´ËÂ¥