24小时热门版块排行榜    

北京石油化工学院2026年研究生招生接收调剂公告
查看: 194  |  回复: 0

flora515

金虫 (小有名气)

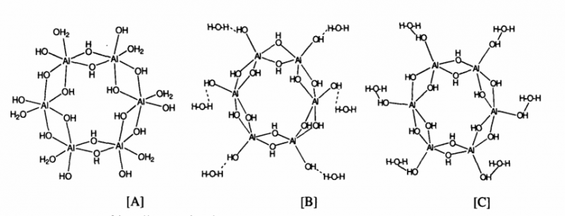
[求助] 采用gaussian view怎么建A16(OH)18(H2O)6结构的计算模型

请问采用gaussian view怎么建A16(OH)18(H2O)6结构的计算模型(图片1中的3种模型,图片2为结构A的参考),非常感谢!

采用gaussian view怎么建A16(OH)18(H2O)6结构的计算模型
图片1.png


采用gaussian view怎么建A16(OH)18(H2O)6结构的计算模型-1
图片2.png
回复此楼
已阅   回复此楼   关注TA 给TA发消息 送TA红花 TA的回帖
相关版块跳转 我要订阅楼主 flora515 的主题更新
最具人气热帖推荐 [查看全部] 作者 回/看 最后发表
[考研] 340求调剂 +3 jhx777 2026-03-27 3/150 2026-03-27 08:56 by 不吃魚的貓
[硕博家园] 招收生物学/细胞生物学调剂 +3 IceGuo 2026-03-26 4/200 2026-03-27 05:35 by user003
[考研] 325求调剂 +5 李嘉图·S·路 2026-03-23 5/250 2026-03-27 00:42 by wxiongid
[考研] 0703化学338求调剂! +5 Zuhui0306 2026-03-26 6/300 2026-03-26 23:42 by 381988266
[考研] 321求调剂 +6 wasdssaa 2026-03-26 6/300 2026-03-26 20:57 by sanrepian
[考研] 085701环境工程,267求调剂 +4 minht 2026-03-26 4/200 2026-03-26 20:14 by barlinike
[考研] 274求调剂 +14 顾九笙要谦虚 2026-03-24 20/1000 2026-03-26 18:15 by 乐呵呵的追梦人
[考研] 一志愿河工大 081700 276求调剂 +4 地球绕着太阳转 2026-03-23 4/200 2026-03-26 14:27 by zzll406
[考研] 打过很多竞赛,085406控制工程300分,求调剂 +3 askeladz 2026-03-26 3/150 2026-03-26 09:08 by 给你你注意休息
[考研] 一志愿哈工大,085400,320,求调剂 +4 gdlf9999 2026-03-24 4/200 2026-03-25 23:01 by boxking200
[考研] 材料与化工328分调剂 +6 。,。,。,。i 2026-03-23 6/300 2026-03-25 22:30 by 418490947
[考研] 生物技术与工程 +3 1294608413 2026-03-25 4/200 2026-03-25 18:02 by 1294608413
[考研] 296求调剂 +4 汪!?! 2026-03-25 7/350 2026-03-25 16:41 by 汪!?!
[考研] 求调剂323材料与化工 +4 1124361 2026-03-24 4/200 2026-03-25 11:19 by shulmg
[考研] 一志愿北化315 求调剂 +3 akrrain 2026-03-24 3/150 2026-03-24 19:35 by 了了了了。。
[考研] 080500求调剂 +3 zzzzfan 2026-03-24 3/150 2026-03-24 16:38 by barlinike
[考研] 一志愿东华大学化学070300,求调剂 +7 2117205181 2026-03-21 8/400 2026-03-22 22:55 by chixmc
[考研] 280分求调剂 一志愿085802 +4 PUMPT 2026-03-22 7/350 2026-03-22 22:13 by 星空星月
[考研] 求调剂 +3 13341 2026-03-20 3/150 2026-03-21 18:28 by 学员8dgXkO
[考研] 材料 271求调剂 +5 展信悦_ 2026-03-21 5/250 2026-03-21 17:29 by 学员8dgXkO
信息提示
请填处理意见