24小时热门版块排行榜    

查看: 330  |  回复: 0

avrwoo

金虫 (小有名气)

[求助] 请问下Tony F.Chan 的Actie contours without edges这篇论文中公式的推导

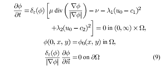
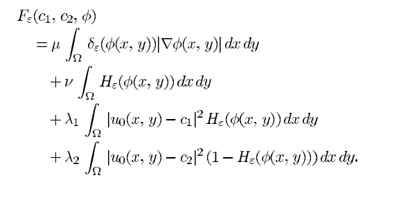
请问下怎样有1图得到2图的。论文中说用到欧拉公式和梯度下降法。我用变分没推导出来。哪位给个详细过程。谢谢。

请问下Tony F.Chan 的Actie  contours without edges这篇论文中公式的推导
1.png


请问下Tony F.Chan 的Actie  contours without edges这篇论文中公式的推导-1
2.png
回复此楼

» 猜你喜欢

已阅   回复此楼   关注TA 给TA发消息 送TA红花 TA的回帖
相关版块跳转 我要订阅楼主 avrwoo 的主题更新
最具人气热帖推荐 [查看全部] 作者 回/看 最后发表
[考研] 一志愿南航材料专317分求调剂 +3 炸呀炸呀炸薯条 2026-03-23 3/150 2026-03-23 20:47 by pswait
[考研] 一志愿中国石油大学(华东) 本科齐鲁工业大学 +4 石能伟 2026-03-17 4/200 2026-03-23 17:51 by 17862566385
[考研] 材料与化工考研调剂 +4 孅華 2026-03-22 4/200 2026-03-23 16:13 by 一休哥FU
[考研] 一志愿西安交通大学材料工程专业 282分求调剂 +11 枫桥ZL 2026-03-18 13/650 2026-03-22 20:26 by edmund7
[考研] 求调剂一志愿海大,0703化学学硕304分,有大创项目,四级已过 +6 幸运哩哩 2026-03-22 10/500 2026-03-22 20:10 by edmund7
[考研] 311求调剂 +3 26研0 2026-03-20 3/150 2026-03-22 14:46 by ColorlessPI
[考博] 招收博士1-2人 +3 QGZDSYS 2026-03-18 4/200 2026-03-22 10:25 by QGZDSYS
[基金申请] 山东省面上项目限额评审 +4 石瑞0426 2026-03-19 4/200 2026-03-22 08:50 by Wei_ren
[考研] 考研调剂 +3 呼呼?~+123456 2026-03-21 3/150 2026-03-21 20:04 by 无际的草原
[考研] 0703化学297求调剂 +3 Daisy☆ 2026-03-20 3/150 2026-03-21 17:45 by ColorlessPI
[考研] 307求调剂 +3 余意卿 2026-03-18 3/150 2026-03-21 17:31 by ColorlessPI
[考研] 266求调剂 +3 哇呼哼呼哼 2026-03-20 3/150 2026-03-21 16:46 by barlinike
[考研] 279求调剂 +5 红衣隐官 2026-03-21 5/250 2026-03-21 14:59 by lature00
[考研] 一志愿华中科技大学,080502,354分求调剂 +5 守候夕阳CF 2026-03-18 5/250 2026-03-21 01:06 by JourneyLucky
[考研] 321求调剂 +9 何润采123 2026-03-18 11/550 2026-03-20 23:19 by JourneyLucky
[考研] 一志愿武汉理工材料工程专硕调剂 +9 Doleres 2026-03-19 9/450 2026-03-20 22:36 by JourneyLucky
[考研] 材料与化工 322求调剂 +4 然11 2026-03-19 4/200 2026-03-20 22:12 by luoyongfeng
[考研] 一志愿苏州大学材料求调剂,总分315(英一) +5 sbdksD 2026-03-19 5/250 2026-03-20 22:10 by luoyongfeng
[考研] 求调剂 +3 eation27 2026-03-20 3/150 2026-03-20 19:32 by JourneyLucky
[论文投稿] 申请回稿延期一个月,编辑同意了。但系统上的时间没变,给编辑又写邮件了,没回复 10+3 wangf9518 2026-03-17 4/200 2026-03-19 23:55 by babero
信息提示
请填处理意见