| ²é¿´: 6036 | »Ø¸´: 2 | |||
2457Ìú³æ (СÓÐÃûÆø)
|
[ÇóÖú]
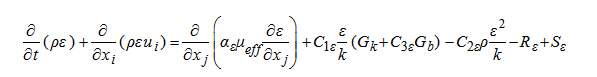
ÍÄÁ÷Ä£ÐÍRNG k-¦Å·½³ÌÖÐR¦ÅµÄº¬ÒåÊÇʲô ÒÑÓÐ1È˲ÎÓë
|
|
1¡¢ÓÐûÓÐÄÄλ´óÉñÓùýFluentÖеÄRNG k-¦ÅÄ£ÐÍ£¬ÆäÖеĦŷ½³ÌÊÇÕâÑùµÄ£¬ÀïÃæµÄR¦Å±íʾµÄÊÇÊ²Ã´ÄØ£¿ 2¡¢±à¼²¿¾Ó¸ß˵ÎÄÕ¹淶ÐÔ²»¹»£¬Òª´ÓÄÄЩ·½Ãæ¼ÓÇ¿ÎÄÕµĹ淶ÐÔÄØ£¿¹òÇó¸÷λ¸ßÊÖ½â´ð ![]() ¦Å·½³Ì.jpg |
» ÊÕ¼±¾ÌûµÄÌÔÌûר¼ÍƼö
fluent |
» ²ÂÄãϲ»¶
081700£¬311£¬Çóµ÷¼Á
ÒѾÓÐ15È˻ظ´
Ò»Ö¾Ô¸±±¾©»¯¹¤085600 310·ÖÇóµ÷¼Á
ÒѾÓÐ18È˻ظ´
085600²ÄÁÏÓ뻯¹¤301·ÖÇóµ÷¼ÁԺУ
ÒѾÓÐ4È˻ظ´
²ÄÁÏÓ뻯¹¤371Çóµ÷¼Á
ÒѾÓÐ14È˻ظ´
336²ÄÁÏÓ뻯¹¤085600Çóµ÷¼Á
ÒѾÓÐ7È˻ظ´
²ÄÁÏ334Çóµ÷¼Á
ÒѾÓÐ18È˻ظ´
331Çóµ÷¼Á
ÒѾÓÐ8È˻ظ´
332Çóµ÷¼Á
ÒѾÓÐ17È˻ظ´
Ò»Ö¾Ô¸ÄϾ©º½¿Õº½Ìì´óѧ ²ÄÁÏÓ뻯¹¤329·ÖÇóµ÷¼Á
ÒѾÓÐ4È˻ظ´
²ÄÁÏר˶322
ÒѾÓÐ7È˻ظ´
» ±¾Ö÷ÌâÏà¹Ø¼ÛÖµÌùÍÆ¼ö£¬¶ÔÄúͬÑùÓаïÖú:
[£¡¼±Çó£¡]ÍÄÁ÷±ê×¼k -¦Å Ä£Ð͵Äϱêi,jº¬Òå
ÒѾÓÐ4È˻ظ´
FluentµÄUDFÊÇ·ñ¿ÉÒÔ×Ô¶¨Òå·øÉäÄ£ÐÍ»òÍÄÁ÷Ä£ÐÍ
ÒѾÓÐ11È˻ظ´
tynring
½ð³æ (³õÈëÎÄ̳)
- Ó¦Öú: 4 (Ó×¶ùÔ°)
- ½ð±Ò: 511.1
- Ìû×Ó: 17
- ÔÚÏß: 45.8Сʱ
- ³æºÅ: 430658
- ×¢²á: 2007-08-11
- רҵ: ´«ÈÈ´«ÖÊѧ
2Â¥2015-01-12 17:12:30
2457
Ìú³æ (СÓÐÃûÆø)
- Ó¦Öú: 0 (Ó×¶ùÔ°)
- ½ð±Ò: 88.6
- ºì»¨: 1
- Ìû×Ó: 60
- ÔÚÏß: 23Сʱ
- ³æºÅ: 2627123
- ×¢²á: 2013-08-31
- ÐÔ±ð: MM
- רҵ: »úе¶¯Á¦Ñ§
3Â¥2015-01-13 09:30:01















»Ø¸´´ËÂ¥