| 查看: 1482 | 回复: 14 | ||
| 当前只显示满足指定条件的回帖,点击这里查看本话题的所有回帖 | ||
[求助]
Matlab已有4人参与
|
||
|
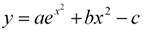
1) 已知数据可能满足 对应值如下表 x y 0 0.8147 0.1 0.8649 0.2 1.0172 0.3 1.2772 0.4 1.6553 0.5 2.1668 0.6 2.8347 0.7 3.6917 0.8 4.7842 0.9 6.1784 1 7.9696 求可能的最好系数a,b,c的值。 clip_image002.jpg |
» 猜你喜欢
请问哪里可以有青B申请的本子可以借鉴一下。
已经有3人回复
真诚求助:手里的省社科项目结项要求主持人一篇中文核心,有什么渠道能发核心吗
已经有3人回复
孩子确诊有中度注意力缺陷
已经有14人回复
三甲基碘化亚砜的氧化反应
已经有4人回复
请问下大家为什么这个铃木偶联几乎不反应呢
已经有5人回复
请问有评职称,把科研教学业绩算分排序的高校吗
已经有5人回复
2025冷门绝学什么时候出结果
已经有3人回复
天津工业大学郑柳春团队欢迎化学化工、高分子化学或有机合成方向的博士生和硕士生加入
已经有4人回复
康复大学泰山学者周祺惠团队招收博士研究生
已经有6人回复
AI论文写作工具:是科研加速器还是学术作弊器?
已经有3人回复
匿名
用户注销 (职业作家)
Matlab专家
- 应助: 223 (大学生)
- 金币: 2891.3
- 散金: 5302
- 红花: 59
- 沙发: 10
- 帖子: 3308
- 在线: 945小时
- 虫号: 0
- 注册: 2012-05-01
- 性别: GG
- 专业: 力学
13楼2015-01-11 20:17:28
匿名
用户注销 (职业作家)
Matlab专家
- 应助: 223 (大学生)
- 金币: 2891.3
- 散金: 5302
- 红花: 59
- 沙发: 10
- 帖子: 3308
- 在线: 945小时
- 虫号: 0
- 注册: 2012-05-01
- 性别: GG
- 专业: 力学
2楼2015-01-11 16:30:33
匿名
用户注销 (职业作家)
Matlab专家
- 应助: 223 (大学生)
- 金币: 2891.3
- 散金: 5302
- 红花: 59
- 沙发: 10
- 帖子: 3308
- 在线: 945小时
- 虫号: 0
- 注册: 2012-05-01
- 性别: GG
- 专业: 力学
3楼2015-01-11 16:47:04
匿名
用户注销 (职业作家)
Matlab专家
- 应助: 223 (大学生)
- 金币: 2891.3
- 散金: 5302
- 红花: 59
- 沙发: 10
- 帖子: 3308
- 在线: 945小时
- 虫号: 0
- 注册: 2012-05-01
- 性别: GG
- 专业: 力学
4楼2015-01-11 16:59:14













回复此楼