| ²é¿´: 498 | »Ø¸´: 1 | ||
qinleidreamľ³æ (СÓÐÃûÆø)
|
[ÇóÖú]
ÇóÖúÒ»µã·¨ÇóÌØÐÔÕ³ÊýÖЧ¢§Ö§â§Ý§Ú§ß¹«Ê½ÍƵ¼¹ý³Ì»òÕßÏà¹ØÎÄÏ×
|
|
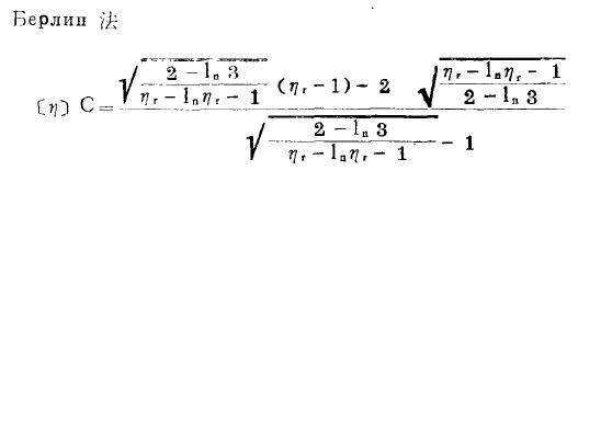
Ò»µã·¨ÇóÌØÐÔÕ³ÊýµÄ§¢§Ö§â§Ý§Ú§ß¹«Ê½£¬ÒòΪÎÄÏױȽϹÅÀÏ£¬Ï²»ÁË£¬²»ÖªµÀ¸÷λ´óÏÀÓÐûÓÐÖªµÀÕâ¸ö¹«Ê½ÊÇÔõÃ´ÍÆµ¼³öÀ´µÄ¡£ 1.jpg |
» ²ÂÄãϲ»¶
272·Ö²ÄÁÏ×ÓÇóµ÷¼Á
ÒѾÓÐ36È˻ظ´
275Çóµ÷¼Á
ÒѾÓÐ8È˻ظ´
µ÷¼ÁÇóÊÕÁô
ÒѾÓÐ5È˻ظ´
Ò»Ö¾Ô¸211£¬»¯Ñ§Ñ§Ë¶£¬310·Ö£¬±¾¿ÆÖصãË«·Ç£¬Çóµ÷¼Á
ÒѾÓÐ20È˻ظ´
070300»¯Ñ§Ñ§Ë¶311·ÖÇóµ÷¼Á
ÒѾÓÐ19È˻ظ´
²ÄÁÏÓ뻯¹¤µ÷¼Á
ÒѾÓÐ13È˻ظ´
²ÄÁÏÓ뻯¹¤µ÷¼Á
ÒѾÓÐ33È˻ظ´
¸´ÊÔµ÷¼Á
ÒѾÓÐ7È˻ظ´
Ò»Ö¾Ô¸¹þ¹¤´ó 085600 277 12²Ä¿Æ»ùÇóµ÷¼Á
ÒѾÓÐ17È˻ظ´
»¹Óл¯¹¤¶þÂÖµ÷¼ÁµÄѧУÂð
ÒѾÓÐ47È˻ظ´
» ±¾Ö÷ÌâÏà¹Ø¼ÛÖµÌùÍÆ¼ö£¬¶ÔÄúͬÑùÓаïÖú:
ÇóAg/AgClµç¼«µçλÓë±ê×¼Çâµç¼«£¨NHE£©×ª»»¹«Ê½µÄ²Î¿¼ÎÄÏ×£¬Ð¡µÜÔÚ´Ëл¹ý£¡
ÒѾÓÐ4È˻ظ´
ÇóÖúgriffith-Orowan-irwin¹«Ê½µÄ³ö´¦£¬ÊÇÔÚÄĸöÎÄÏ×ÉÏ·¢±íµÄ£¿£¿
ÒѾÓÐ2È˻ظ´
ÇòÍù¸´Ä¥ËðÄ¥ËðÌå»ý¼ÆË㹫ʽ»òÕßÎÄÏ×!
ÒѾÓÐ5È˻ظ´
²Î¿¼ÎÄÏ×ÇóÖú---ÓйØLOD¼ÆË㹫ʽµÄÎÄÏ×
ÒѾÓÐ8È˻ظ´
ÕýÎÄÄÚÒýÓÃÎÄÏ×Öй«Ê½»òÊÇÒ³ÂëʱÐèҪд³ÉʲôÑùµÄ¸ñʽ£¿
ÒѾÓÐ6È˻ظ´

°®?µÄìõ¶ùÃÃ
гæ (³õÈëÎÄ̳)
- Ó¦Öú: 0 (Ó×¶ùÔ°)
- ½ð±Ò: 18
- Ìû×Ó: 6
- ÔÚÏß: 7·ÖÖÓ
- ³æºÅ: 8794384
- ×¢²á: 2018-05-18
- רҵ: ÉúÎïÒ½Óø߷Ö×Ó²ÄÁÏ
2Â¥2018-06-12 00:15:29













»Ø¸´´ËÂ¥